Основная цель лечения больных артериальной гипертонией (АГ) — максимальное снижение риска развития сердечно-сосудистых осложнений (ССО) и смерти от них [1].
Для достижения этой цели, прежде всего, требуется снижение артериального давления (АД) до целевого уровня — менее 140/90 мм рт.ст. [1].
В настоящее время для лечения больных АГ рекомендованы 5 основных классов антигипертензивных препаратов (АГП): ингибиторы ангиотензинпревращающего фермента (АПФ), блокаторы рецепторов ангиотензина II 1-го типа (БРА), антагонисты кальция, β-адреноблокаторы, диуретики [1]. На выбор препарата влияют многие факторы, наиболее важными из которых считают [1]:
- наличие у больного различных факторов риска;
- наличие поражения органов-мишеней;
- ассоциированные клинические состояния, поражения почек, сахарный диабет (СД);
- сопутствующие заболевания, при которых необходимо назначение или ограничение применения АГП различных классов;
- предыдущие индивидуальные реакции больного на препараты различных классов;
- вероятность взаимодействия с лекарствами, которые пациенту назначены по другим поводам;
- социально-экономические факторы, включая стоимость лечения.
При выборе АГП необходимо в первую очередь оценить эффективность, вероятность развития побочных эффектов и преимущества лекарственного средства в определенной клинической ситуации [1].
Уменьшение риска развития ССО на фоне АГТ в большей степени зависит от величины, на которую снижается АД, чем от используемого класса АГП, и невозможно точно прогнозировать, какой АГП будет максимально эффективен у конкретного пациента [1]. При назначении любого из основных классов АГП есть свои «за» и «против», поэтому универсальное ранжирование АГП является ненужным и, скорее всего, опасным [1]. В каждой конкретной клинической ситуации необходимо учитывать особенности действия различных классов АГП, обнаруженные при проведении рандомизированных исследований. Однако очень часто даже представители одного класса имеют особые свойства, которые делают их назначение более обоснованным. Выбор того или иного АГП, особенно в начале лечения, должен основываться на результатах клинических исследований, в которых доказаны высокая эффективность и безопасность применения именно этого препарата у пациентов в подобной клинической ситуации [1].
Одним из 5 основных классов АГП являются БРА. В действии ангиотензина II (АТII) на сосуды различают два механизма — прессорный и депрессорный [1, 2]. Первый опосредуется влиянием АТII на рецепторы 1-го типа (АТ1) и приводит к вазоконстрикции, задержке натрия и жидкости, увеличению симпатической активности, снижению тонуса блуждающего нерва, пролиферации клеток и положительному инотропному эффекту. Депрессорное действие АТII реализуется через стимуляцию рецепторов 2-го типа (АТ2), что приводит к вазодилатации, особенно выраженной в сосудах головного мозга и почек, натрийуретическому действию, антипролиферативному эффекту, активации кининогена, высвобождению оксида азота и простагландина I2. В основе антигипертензивного действия и других фармакологических эффектов блокаторов рецепторов АТ1 лежат прямой механизм и два косвенных. Первый связан с ослаблением эффектов АТII в условиях селективной блокады рецепторов АТ1. Второй обусловлен реактивной гиперактивацией ренин-ангиотензин-альдостероновой системы (РААС) в условиях блокады рецепторов АТ1 и дополнительной стимуляцией рецепторов АТ2. На антигипертензивную эффективность БРА не влияют активность РААС, пол и возраст пациента. У БРА нет «ускользания» антигипертензивного эффекта, так как их действие не зависит от пути образования АТII [1, 2]. Для БРА доказано положительное влияние на состояние органов-мишеней и снижение риска развития всех ССО. Помимо того, для БРА характерна наиболее высокая приверженность пациентов лечению за счет высокой эффективности и наилучшей среди всех классов АГП переносимости лечения [1, 2]. За последние годы показания к применению БРА существенно расширились. К ранее имевшимся показаниям (диабетическая нефропатия, протеинурия/микроальбуминурия, хроническая сердечная недостаточность, гипертрофия миокарда левого желудочка, мерцательная аритмия, кашель при приеме ингибиторов АПФ и т.д.) добавились такие, как ишемическая болезнь сердца, недиабетическая нефропатия, дисфункция левого желудочка, пожилой возраст [1].
До настоящего время класс БРА включал лозартан, валсартан, кандесартан, телмисартан, ирбесартан, эпросартан, олмесартан. Сейчас в Российской Федерации зарегистрирован к применению азилсартан. Азилсартан медоксомил (эдарби, Такеда) — пролекарство, которое быстро гидролизуется в организме до активного остатка азилсартана — мощного и высоко селективного БРА, подавляющего эффекты АТII [3]. Азилсартан, назначаемый 1 раз в сутки, показан к применению для лечения эссенциальной АГ в виде монотерапии или в комбинации с другими АГП. Расчетная абсолютная биодоступность эдарби после приема составляет приблизительно 60%, а период полувыведения — 11 ч [3].
Обращает на себя внимание, что новый представитель класса БРА обладает выраженной антигипертензивной эффективностью, превышающей таковую у ряда других БРА, а также ингибитора АПФ рамиприла. Это обусловлено особенностями фармакокинетики данного препарата: азилсартан более прочно связывается с рецепторами к АТII подтипа АТ1 (как показано в одном из сравнительных исследований in vitro) и отличается более медленной диссоциацией от них, по сравнению с другими БРА, что и приводит к мощному и продолжительному антигипертензивному действию [3].
Одно из сравнительных исследований с другим БРА было 24-недельным, рандомизированным двойным слепым многоцентровым в параллельных группах, в котором сравнивали антигипертензивную эффективность и безопасность азилсартана и валсартана в максимальной разрешенной дозе у 984 пациентов с эссенциальной АГ [4]. Критерии включение были следующими: возраст ≥18 лет, наличие эссенциальной АГ (клиническое систолическое АД — САД в положении сидя на плато активности препарата ≥150 и ≤180 мм рт.ст.; среднее 24-часовое САД ≥130 и ≤170 мм рт.ст.).
Больные, подходившие для включения, прекращали прием ранее назначенных АГП за 3—4 нед до рандомизации и получали плацебо в течение 2 нед перед рандомизацией. Затем пациентов рандомизировали в следующие группы:
- азилсартан 20 мг 1 раз в сутки, с обязательным титрованием дозы до 40 мг 1 раз в сутки через 2 нед;
- азилсартан 20 мг 1 раз в сутки, с обязательным титрованием дозы до 80 мг раз в сутки через 2 нед;
- валсартан 80 мг 1 раз в сутки, с обязательным титрованием дозы до 320 мг 1 раз в сутки через 2 нед.
Критериями исключения были известная или подозреваемая вторичная АГ; тяжелая диастолическая АГ (диастолическое АД — ДАД >114 мм рт.ст.); ССО в анамнезе (давностью ≤6 мес); клинически значимая дисфункция почек (скорость клубочковой фильтрации — СКФ <30 мл/мин на 1,73 м2); СД 1-го типа или плохо контролируемый СД 2-го типа; низкая приверженность лечению в пилотном периоде с приемом плацебо (<70% или >130%); гиперкалиемия.
Первичной точкой эффективности было изменение среднего 24-часового САД от исходного уровня, по данным суточного мониторирования артериального давления (СМАД). Вторичной точкой эффективности было изменение клинического САД в положении сидя на плато активности препарата от исходного уровня. Вторичные конечные точки включали изменение среднего 24-часового ДАД от исходного уровня, по данным СМАД, и клинического ДАД в положении сидя на плато активности препарата, а также число пациентов, ответивших на лечение, по уровням АД. Конечными точками для оценки безопасности служили частота нежелательных явлений и результаты лабораторных исследований [4].
Демографические характеристики пациентов (возраст, пол и др.) были сходными в 3 группах лечения, средний возраст в общей популяции составил 58 лет. Сопоставимы также были исходные уровни средних 24-часовых САД и ДАД, а также клинических САД и ДАД в положении сидя. Снижение 24-часового уровня ДАД было достоверно более выраженным при лечении азилсартаном в обеих дозах (40 мг и 80 мг), чем при лечении валсартаном 320 мг (рис. 1) [4].
При этом различия между препаратами составили: азилсартан 80 мг против валсартана 320 мг: -2,69 мм рт.ст. (95% ДИ 3,99–1,40; p<0,001); азилсартан 40 мг против валсартана 320 мг: -2,16 мм рт.ст. (при 95% ДИ от -3,44 до -0,88; p<0,001).
Число пациентов, у которых ответ на лечение проявлялся снижением САД до <140 мм рт.ст. и/или снижением САД≥20 мм рт.ст. от исходного уровня, было достоверно больше в группах азилсартана 40 мг (56%) и 80 мг (59%), чем в группе валсартана 320 мг (47%; p=0,016 и p=0,002 соответственно). Число пациентов с ответом на лечение в виде снижения ДАД до <90 мм рт.ст. и/или снижения ДАД ≥10 мм рт.ст. от исходного уровня также было достоверно больше в группах азилсаратана 40 мг (72%) и азилсаратана 80 мг (74%), чем в группе валсартана 320 мг(66%; p=0,041 и p=0,015 соответственно). Наконец, число пациентов с ответом на лечение по критериям как САД, так и ДАД, было достоверно больше в группах азилсаратана 40 мг (50%) и 80 мг (55%), чем в группе валсартана 320 мг (41%; p=0,018 и p<0,001 соответственно) [4]. С клинических позиций важно, что статистически значимо более выраженное снижение среднего клинического САД при лечении азилсартаном 40 мг и 80 мг по сравнению с валсартаном 320 мг достигнуто ко 2-й неделе и сохранялось на всех визитах в рамках исследования вплоть до 24-й недели (p<0,05 для всех сравнений) (рис. 2) [4]. Уменьшение среднего клинического САД достигло плато к 4-й неделе в каждой из групп активного лечения и сохранялось на всем протяжении периода исследования (рис. 2).
В другом исследовании антигипертензивную эффективность азилсартана сравнивали с таковой кандесартана [5]. Длительность этого исследования составила 16 нед, оно также было двойным слепым многоцентровым в параллельных группах, в нем приняли участие 636 больных эссенциальной АГ [5]. Критерии включения были следующими: возраст ≥20 лет, эссенциальная АГ (клиническое САД ≥150 и <180 мм рт.ст. или клиническое ДАД ≥95 и <110 мм рт.ст.). После так называемого отмывочного периода, длившегося 4 нед, больных, подходивших для включения, рандомизировали в следующие группы:
1) азилсартан 20 мг 1 раз в сутки с дальнейшей титрацией дозы при необходимости через 8 нед до 40 мг 1 раз в сутки (n=319);
2) кандесартан 8 мг 1 раз в сутки с дальнейшей титрацией дозы при необходимости через 8 нед до 12 мг 1 раз в сутки (n=317).
Критерии исключения из данного исследования: вторичная АГ; АГ 3-й степени (САД>180 мм рт.ст., ДАД>110 мм рт.ст.); подтвержденное сердечно-сосудистое заболевание; СД 1-го типа или плохо контролируемый СД 2-го типа; выраженное нарушение функции печени или почек; гиперкалиемия.
Первичная конечная точка — изменение ДАД по данным клинического измерения через 16 нед лечения. Вторичные конечные точки: изменение САД по данным клинического измерения через 16 нед лечения, изменение клинического САД и ДАД через 8 нед лечения, изменение САД и ДАД по данным СМАД, доля пациентов, ответивших на лечение. Ответ определяли как клиническое САД <130 мм рт.ст. и/или его уменьшение на ≥20 мм рт.ст. от исходного и/или клиническое ДАД<85 мм рт.ст. и/или его уменьшение на ≥10 мм рт.ст.
от исходного. Конечными точками для оценки безопасности были нежелательные явления и результаты лабораторных исследований.
В результате в группе азилсартана констатировано достоверно большее снижение как САД (-21,6 мм рт.ст.), так и ДАД (-12,3 мм рт.ст.), чем в группе кандесартана (-17,3 и -9,7 мм рт.ст. для САД и ДАД соответственно; p<0,05) (рис. 3). Число пациентов, ответивших на лечение, в группе азилсартана также было достоверно больше (44,1% для САД и 51,8% для ДАД), чем в группе кандесартана (29,4% для САД и 34,3% для ДАД) (рис. 4) [5].
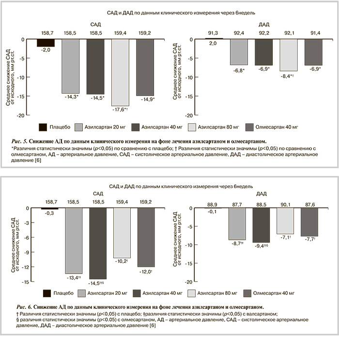
Третьим БРА, с которым сравнивали азилсартан, был олмесартан. Исследование было 6-недельным рандомизированным двойным слепым многоцентровым в параллельных группах с оценкой антигипертензивной эффективности и безопасности азилсартана по сравнению с олмесартаном в максимальной разрешенной дозе у 1275 пациентов с эссенциальной АГ. По дизайну в исследовании имелся 3–4-недельный период вымывания и 2-недельный пилотный период с приемом плацебо. Подходящих пациентов рандомизировали в группы азилсартана 20 мг 1 раз в сутки, азилсартана 40 мг 1 раз в сутки, азилсартана 80 мг 1 раз в сутки, олмесартана 40 мг 1 раз в сутки или плацебо, длительность приема составила 6 нед.
Критериями включения в исследование были возраст пациентов ≥18 лет, наличие эссенциальной АГ (клиническое САД в положении сидя на плато активности препарата ≥150 и ≤180 мм рт.ст.; среднее 24-часовое САД≥130 и ≤170 мм рт.ст.). Критерии исключения: клиническое ДАД в положении сидя >114 мм рт.ст., ССО в анамнезе, значимые нарушения проводимости сердца, известная или подозреваемая вторичная АГ, клинически значимая дисфункция почек (СКФ <30 мл/мин на 1,73 м2), известный или подозреваемый стеноз почечной артерии, СД 1-го типа или плохо контролируемый СД 2-го типа, значимые нарушения функции печени, гиперкалиемия, плохая приверженность приему изучаемого препарата (<70% или >130%) в пилотном периоде с приемом плацебо [6]. Ответ на лечение определяли как клиническое САД<140 мм рт.ст. и/или его уменьшение на ≥20 мм рт.ст. от исходного и/или клиническое ДАД<90 мм рт.ст. и/или его уменьшение на ≥10 мм рт.ст. от исходного.
Первичным показателем эффективности было изменение САД от исходного уровня через 6 нед лечения, по данным СМАД. Главным дополнительным показателем эффективности было изменение клинического САД в положении сидя на плато активности препарата от исходного уровня через 6 нед лечения. Другие вторичные конечные точки включали: изменение среднего 24-часового ДАД от исходного уровня, по данным СМАД, и клинического ДАД в положении сидя на плато активности препарата, а также число пациентов с ответом на лечение по уровням АД. Конечными точками для оценки безопасности служили частота нежелательных явлений, результаты лабораторных исследований и показатели витальных функций.
Исходные характеристики пациентов, включая средний возраст, исходные показатели СМАД и клинического АД, были сходными в группах лечения. Средний возраст включенных в исследование больных составил 58 лет; 29,5% пациентов были в возрасте 65 лет и старше.
В результате четко установлено, что через 6 нед лечения азилсартан в дозе 80 мг достоверно (p<0,05) эффективнее снижает САД и ДАД по сравнению с олмесартаном 40 мг, по данным клинического измерения АД (рис. 5) [6].

W.B. White и соавт. [7] сообщили о прямом сравнении эффективности азилсартана с валсартаном и олмесартаном. Проведено 6-недельное многоцентровое двойное слепое рандомизированное контролируемое исследование фазы III с целью оценки эффективности и безопасности азилсартана по сравнению с препаратами в максимальных разрешенных дозах — олмесартаном (40 мг) и валсартаном (320 мг) у 1291 пациента с АГ 1-й и 2-й степени. В исследование включали лиц в возрасте ≥18 лет с клиническим САД в положении сидя 150—180 мм рт.ст. и средним 24-часовым САД 130—170 мм рт.ст. Критерии исключения пациентов из исследования были известная или подозреваемая вторичная АГ, тяжелая диастолическая АГ (ДАД>114 мм рт.ст.), клинически значимые нарушения функции почек, печени, метаболизма и психические расстройства, клинически значимое сердечно-сосудистое заболевание, СД 1-го типа или плохо контролируемый СД 2-го типа.
После 3—4-недельного «отмывочного» периода пациенты были рандомизированы следующие в группы лечения:
1) азилсартан 20 мг 1 раз в сутки, с повышением дозы до 40 мг 1 раз в сутки через 2 нед;
2) азилсартан 40 мг 1 раз в сутки, с повышением дозы до 80 мг 1 раз в сутки через 2 нед;
3) валсартан 160 мг 1 раз в сутки, с повышением дозы до 320 мг 1 раз в сутки через 2 нед;
4) олмесартан 20 мг 1 раз в сутки, с повышением дозы до 40 мг 1 раз в сутки через 2 нед.
Первичным критерием эффективности было изменение среднего 24-часового САД от исходного уровня, по данным СМАД. Вторичным показателем эффективности было изменение клинического САД в положении сидя на плато активности препарата через 6 нед лечения. Другие дополнительные конечные точки включали изменение среднего 24-часового ДАД от исходного уровня, по данным СМАД, и клинического ДАД в положении сидя на плато активности препарата, а также число пациентов с ответом на лечение по уровням АД. Конечными точками для оценки безопасности служили частота нежелательных явлений, результаты лабораторных исследований, данные электрокардиографии и показатели витальных функций. Ответ на лечение определяли как клиническое САД<140 мм рт.ст. и/или его уменьшение на ≥20 мм рт.ст. от исходного и/или клиническое ДАД<90 мм рт.ст. и/или его уменьшение на ≥10 мм рт.ст. от исходного.
Исходные характеристики пациентов не различались в группах лечения. Средний возраст в общей популяции составил 56 лет; 54% пациентов составили мужчины.
Результаты данного исследования свидетельствуют о том, что азилсартан в обеих дозах был достоверно (p<0,05) эффективнее валсартана в дозе 320 мг в отношении снижения как САД, так и ДАД, по данным СМАД (рис. 6). Кроме того, азилсартан в дозе 80 мг оказался достоверно (p<0,05) эффективнее в снижении САД и ДАД по сравнению с олмесартаном в дозе 40 мг [7]. Число больных, ответивших на лечение азилсартаном, было больше, чем ответивших на лечение валсартаном и олмесартаном (см. таблицу) [7]. Исходя из изложенного, сделан вывод, что результаты этого исследования совпадают с результатами цитировавшихся исследований D. Sica и соавт. и G.L. Bakris и соавт. [4, 6].
Имеются также данные по сравнению азилсартана с ингибитором АПФ рамиприлом. G. Bonner и соавт. [8] опубликовали результаты исследования, которое длилось 24 нед и было многоцентровым двойным слепым рандомизированным в параллельных группах. В этом исследовании изучали антигипертензивную эффективность и переносимость азилсартана медоксомила по сравнению с ингибитором АПФ у 884 пациентов с АГ 1—2-й степени.

Критериями включения в исследование были возраст ≥18 лет, наличие эссенциальной АГ (исходное САД≥150 и ≤180 мм рт.ст.), отсутствие лечения АГ (или желание прекратить прием антигипертензивных препаратов) и неконтролируемое АД (применяли только для участников из Финляндии). Через 2 нед пилотного периода с приемом плацебо пациентов рандомизировали в одну из следующих групп лечения:
1) азилсартан 20 мг, с повышением дозы до 40 мг через 2 нед;
2) азилсартан 20 мг, с повышением дозы до 80 мг через 2 нед;
3) рамиприл 2,5 мг, с повышением дозы до 10 мг через 2 нед.
Пациентов исключали, если они соответствовали одному из следующих критериев: САД>180 мм рт.ст. или ДАД>114 мм рт.ст.; основное ССО в анамнезе (давностью ≤6 мес); клинически значимые нарушения проводимости сердца; вторичная АГ; тяжелая дисфункция почек или стеноз почечной артерии; рак не в ремиссии в течение предыдущих 5 лет и более; СД 1-го типа или плохо контролируемый СД 2-го типа; гиперкалиемия.
Первичным критерием эффективности было изменение клинического САД в положении сидя на плато активности препарата через 24 нед. Основным вторичным критерием эффективности было изменение клинического ДАД в положении сидя на плато активности препарата через 24 нед. Другие дополнительные конечные точки включали изменение средних 24-часовых уровней САД и ДАД, по данным СМАД через 24 нед, и число лиц, ответивших на лечение, в соответствии с критериями по САД, ДАД и САД/ДАД (ответ определяли как клиническое САД≤140 мм рт.ст. и/или его уменьшение на ≥20 мм рт.ст. от исходного; клиническое ДАД<90 мм рт.ст. и/или его уменьшение на ≥10 мм рт.ст. от исходного; а также соответствие обоим критериям — по САД и ДАД). Конечные точки для оценки безопасности включали регистрацию нежелательных явлений и оценку результатов лабораторных исследований.
Демографические характеристики (средний возраст, этнические группы и др.) пациентов были сходными в группах лечения; масса тела и индекс массы тела также достоверно не различались. Исходные уровни клинических САД и ДАД были сходными в 3 группах лечения.
Согласно полученным результатам, азилсартан в обеих дозах привел к достоверно более выраженному снижению клинического САД в положении сидя на плато активности препарата через 24 нед по сравнению с рамиприлом в максимальной разрешенной дозе (p<0,001 для сравнений рамиприла с азилсартаном в двух дозах) (рис. 7). Различия между азилсартаном и рамиприлом составили:
— азилсартан 80 мг против рамиприла 10 мг: -9,03 мм рт.ст. (при 95% ДИ от -11,66 до -6,39; p<0,001);
— азилсартан 40 мг против рамиприла 10 мг: -8,41 мм рт.ст. (при 95% ДИ от -11,04 до -5,78; p<0,001).
Кроме того, в группах пациентов, получавших лечение азилсартаном, отвечавших на лечение было достоверно больше, чем в группе рамиприла. Так, число пациентов с ответом на лечение в виде снижения клинического САД до ≤140 мм рт.ст. и/или снижения САД≥20 мм рт.ст. от исходного составило в группах азилсартана 40 мг и 80 мг 59,8 и 57,4% соответственно по сравнению с 39% в группе рамиприла (p<0,001 для сравнения между рамиприлом и азилсартаном в обеих дозах). Число пациентов с ответом на лечение в виде снижения клинического ДАД до <90 мм рт.ст. и/или снижения ДАД>10 мм рт.ст. от исходного составило в группах азилсартана 40 и 80 мг 75,6 и 74,4% соответственно по сравнению с 54,8% в группе рамиприла (p<0,001 для сравнения между рамиприлом и азилсартаном в обеих дозах). Число пациентов с ответом на лечение по критериям как САД, так и ДАД, составило в группах эдарби 40 и 80 мг 54 и 53,6% соответственно по сравнению с 33,8% в группе рамиприла (p<0,001 для сравнений между рамиприлом и азилсартаном в обеих дозах). Полученные результаты позволили авторам сделать вывод, что ангипертензивная эффективность азилсартана превосходит таковую рамиприла [8].
В 2014 г. были представлены первые результаты регистра EARLY (The Treatment with Azilsartan Compared to ACE-Inhibitors in Anti-Hypertensive Therapy) — проспективного обсервационного национального, многоцентрового регистра [9, 10]. В данный регистр вносили данные о пациентах с впервые диагностированной АГ, а также о пациентах, у которых не был достигнут целевой уровень АД на фоне монотерапии любым антигипертензивным препаратом, кроме ингибиторов АПФ и БРА. В общей сложности в него были включены почти 5000 больных АГ, а период наблюдения достигал 12 мес. Основные цели регистра: 1) оценка профиля безопасности азилсартана; 2) процент достижения целевого АД (менее 140/90 мм рт.ст. на фоне лечения азилсартаном по сравнению с ингибитором АПФ) [10]. Пока обработаны результаты 3234 пациентов, срок наблюдения которых в данном регистре составил 6 мес [9]. Средний возраст этих больных составил 60 лет, среди них было 46,9% женщин. Сопутствующая ишемическая болезнь сердца имелась у 9,5% пациентов, СД — у 19,6%, заболевание периферических артерий — у 3,1%, инсульт в анамнезе — у 2,8%, хроническая болезнь почек — у 3,4%, хроническая сердечная недостаточность — у 5,4%. Азилсартан получали 2845 (73%) больных, а 1052 пациента — ингибиторы АПФ (любые, но большинству из них — 85,4%, был назначен рамиприл). Снижение САД в группе азилсартана составило 24,6±19,1 мм рт.ст., что достоверно (р<0,001) больше, чем в группе ингибитора АПФ (21,3±18,6 мм рт.ст.) без поправки на разницу в исходном АД.
Таким образом, по результатам ряда многоцентровых рандомизированных исследований и клинической практики, азилсартан обладает высокой антигипертензивной эффективностью и превосходит ряд других БРА, а также ингибиторы АПФ.
Азилсартан медоксомил характеризуется достаточно благоприятным профилем безопасности. По данным наиболее длительных контролируемых исследований препарата, продолжавшихся 6 мес (сравнение с рамиприлом [8] и валсартаном [4]), среди наиболее частых нежелательных реакций были головокружение, головная боль, повышение уровня креатинина крови. Большинство нежелательных реакций во время терапии азилсартаном были легкими и умеренными. При этом нежелательные реакции приводили к отмене препарата только у 2,4% пациентов, получавших азилсартан в дозке 40 мг и у 3,1% больных — в дозе 80 мг [8].
Имеющиеся данные литературы свидетельствуют о высокой эффективности и отличной переносимости нового представителя класса БРА — азилсартана медоксомила.



