Фибрилляция предсердий (ФП) — самое частое нарушение ритма сердца, диагностируемое у 2% людей в популяции [1, 2]. По прогнозу, в США к 2050 г. число лиц с ФП удвоится по сравнению с таковым в 2005 г. и достигнет 7,5 млн [3]. Риск возникновения ФП существенно увеличивается с возрастом, достигая 3,8% у лиц старше 60 лет и 9% в возрасте старше 80 лет [4—6]. ФП в сочетании с другими факторами риска определяет повышенный риск развития и прогрессирования сердечной недостаточности, тромбоэмболических осложнений, прежде всего, ишемического инсульта и смерти [7, 8].
Несмотря на безусловные успехи хирургических и катетерных вмешательств в лечении ФП, для значительного числа пациентов они рассматриваются как альтернативные — при неэффективности или невозможности медикаментозного контроля ритма сердца [7, 9].
С целью контроля синусового ритма (СР) у пациентов с ФП в Европе применяются 5 антиаритмических препаратов (ААП): амиодарон (III класс), дизопирамид (IA класс), флекаинид (IC класс), пропафенон (IС класс) и соталол (III класс). В США в этих же целях применяется также препарат III класса дофетилид.
В России помимо амиодарона, соталола и пропафенона доступны препараты IC класса этацизин и аллапинин. К сожалению, препараты как I, так и III класса не лишены побочных, в том числе проаритмических эффектов [10, 11]. В Кохрановском обзоре (2007) приводятся данные о существенном (20—50%) уменьшении числа рецидивов ФП под действием ААП IA и IC классов, но именно препараты этих классов характеризуются наиболее высоким риском развития опасных желудочковых аритмогенных эффектов при их использовании у больных с ФП и другими формами аритмий, возникающих на фоне тяжелой органической патологии сердца. Вместе с тем контроль ритма с применением АПП является важнейшей стратегией лечения ФП и рекомендован пациентам с трудно переносимыми симптомами ФП [7, 12].

Восстановление СР с помощью АПП принято называть медикаментозной кардиоверсией. Для медикаментозной кардиоверсии пароксизмальной ФП рекомендованы препараты IC класса флекаинид и пропафенон, восстанавливающие СР в 90% случаев при ФП, длящейся менее 24 ч, и препараты III класса амиодарон, ибутилид и вернакалант [13—19].
Вернакалант (vernakalant) — новейший ААП III класса с преимущественным влиянием на предсердную реполяризацию за счет блокады ультрабыстрого калиевого тока IKur. Препарат изучен в серии рандомизированных исследований ACTs I—IV и AVRO [20—23]. Вернакалант оказался эффективным в качестве средства для медикаментозной кардиоверсии в 47—52% случаев при продолжительности ФП не более 7 дней. Эффективность препарата уменьшалась на порядок при длительности ФП от 8 до 45 сут, а при трепетании предсердий (ТП) его эффективность не отличалась от плацебо. Вернакалант в 2012 г. одобрен в США и странах Евросоюза для кардиоверсии пароксизмальной ФП продолжительностью до 7 сут.
Следует подчеркнуть, что помимо вернакаланта перечисленные выше ААП рекомендованы для кардиоверсии ФП продолжительностью не более 48 ч. Эффективность этих препаратов при персистирующей форме ФП крайне низка, что не позволяет рассматривать их в качестве альтернативы электрической кардиоверсии для больных этой категории [7, 24].
Первым отечественным антиаритмическим препаратом III класса был нибентан, синтезированный во ВНИХФИ (Москва).
Нибентан блокирует калиевые токи задержанного выпрямления Ik+. Кроме того, препарат обладает антихолинергической активностью за счет влияния на М2-холинорецепторы и, соответст-венно, подавления ацетилхолинчувствительного калиевого тока IКAch [25]. Нибентан удлиняет реполяризацию, продолжительность потенциала действия (ПД) и увеличивает рефрактерные периоды в предсердиях и желудочках [25]. Препарат оказывает умеренное отрицательное хронотропное действие за счет прямого влияния на клетки синусного узла (СУ). Нибентан проявил исключительно высокую антиаритмическую активность на модели холинергической ФП у экспериментальных животных [26].
Клинические испытания, проведенные в 1993—1996 гг. в Институте клинической кардиологии им. А.Л. Мясникова РКНПК МЗ РФ, показали, что препарат демонстрирует отчетливые электрофизиологические эффекты, присущие ААП III класса [27, 28]. В дозе 0,125 мг/кг препарат удлинял интервалы QT/QTc в среднем на 21%, не влияя на продолжительность интервалов PQ и QRS. Рефрактерные периоды предсердий и желудочков возрастали на 19 и 16% соответственно; препарат умеренно снижал частоту СР и не влиял на показатели проводимости [29].
При этом препарат показал высокую эффективность восстановления СР при персистирующей форме ФП и ТП и стал первым отечественным препаратом, зарегистрированным и рекомендованным для проведения медикаментозной кардиоверсии персистирующих форм этих тахиаритмий.
В клиническом исследовании при ФП и ТП продолжительностью от 8 сут до 36 мес (6,7±6,8 мес) нибентан в дозе 0,06 мг/кг восстанавливал СР в 29,7% случаев при полном отсутствии аритмогенных осложнений. В дозе до 0,125 мг/кг эффективность препарата возрастала до 72% (68% при ФП, 100% при ТП), при этом аритмогенный побочный эффект препарата в виде полиморфной желудочковой тахикардии (ЖТ) отмечен в 3% случаев [30, 31]. После внедрения нибентана в клиническую практику был продолжен поиск других препаратов III класса. Ниферидил (РГ-2, фениридин), синтезированный в ВНИХФИ (рис. 1), стал вторым отечественным препаратом III класса [32].
Результаты экспериментального изучения ниферидила
Ионные механизмы действия ниферидила и влияние на ПД. Основным ионным механизмом действия ниферидила является дозозависимое подавление IK+. Препарат умеренно подавляет кальциевый входящий ток большой проводимости L-типа — IСaL. Небольшое замедление этого тока в пейсмекерных клетках приводит к снижению частоты СР [33]. Ниферидил не влияет на кратковременный выходящий ток Ito и калиевый ток аномального выпрямления IK1.

В исследовании на предсердных волокнах крысы и кролика укорочение ПД под действием карбохола — аналога ацетилхолина, частично ингибировалось ниферидилом [34]. Антихолинергическая активность ниферидила, как и его предшественника нибентана, имеет особое значение при ФП, связанной с активацией парасимпатических влияний на сердце.
В экспериментальном исследовании на изолированном предсердном волокне показано, что блокада выходящих калиевых токов приводила к удлинению ПД. На рис. 2 представлены записи ПД предсердного волокна крысы (см. рис. 2 А) и кролика (см. рис. 2 Б) в контроле и при действии ниферидила в концентрациях 0,01, 0,1 и 1 мкМ. Ниферидил дозозависимо увеличивал ПД за счет замедления конечной фазы реполяризации в предсердных волокнах у каждого животного. При этом в диапазоне исследованных концентраций препарат не изменял потенциала покоя и амплитуды ПД [33].
Под действием препарата в концентрациях 0,1 и 1,0 мкМ продолжительность ПД достоверно увеличивалась на 19±5 и 26±7% на уровне 90% реполяризации по сравнению с контрольными значениями у каждого из исследованных животных (см. рис. 2 В).
Такое увеличение длительности ПД при неизменности других параметров ПД характерно для препаратов III класса и должно приводить к увеличению рефрактерности.
Действие ниферидила на рефрактерные периоды и проводимость. Ниферидил увеличивал рефрактерные периоды как в предсердиях, так и желудочках, при этом влияние на рефрактерность предсердий было существенно больше (рис. 3). Степень увеличения эффективного рефрактерного периода (ЭРП) в предсердиях была достоверно выше исходной в дозах 5, 10, 15, 20, 40, 80 мкг/кг (р<0,01), в то время как ЭРП желудочка достоверно возрастал начиная с дозы 40 мкг/кг (р<0,05) [33].
Ниферидил в дозах 20 и 40 мкг/кг не влиял на скорость проведения по предсердиям, атриовентрикулярному (АВ) узлу (интервал АН) и системе Гиса—Пуркинье (интервал HV), не изменял продолжительность интервала PQ и комплекса QRS. Начиная с дозы 20 мкг/кг, препарат незначительно удлинял интервал QT, однако при увеличении дозы до 80 мкг/кг дальнейшего увеличения интервала QT не происходило [33].
Антиаритмическая активность ниферидила на моделях ваготонической ФП. Антиаритмическую активность НФ изучали на модели ваготонической ФП, которую вызывали кратковременной электростимуляцией ушка правого предсердия и поддерживали с помощью стимуляции блуждающих нервов у наркотизированных собак на сердце in situ. Стимуляция блуждающего нерва вызывает неоднородные уменьшения рефрактерности в разных участках предсердий, таким образом, создавая условия, необходимые для возникновения и поддержания ФП функциональной природы.
Эффективность ниферидила как в купировании, так и предотвращении ФП была дозозависимой. Препарат в дозе 5 мкг/кг внутривенно более чем в 60% случаев прекращал ФП, но ни в одном случае не предотвращал ее. По мере повышения дозы препарата возрастала эффективность прекращения и предотвращения ФП. Так, при дозах 20 и 40 мкг/кг ФП прекращалась в 100% случаев, а предотвращающий эффект достигал 80% [35].
Основным механизмом действия ААП III класса является увеличение длины волны возбуждения за счет удлинения рефрактерного периода без влияния на скорость проведения. Увеличение длины всех контуров re-entry ФП приводит в свою очередь к уменьшению их числа и способности одновременно уместиться в границах предсердий. Увеличение длины волны до критической величины приводит к прекращению ФП. Таким образом, эффективность ААП III класса зависит от его влияния на рефрактерность и, соответственно, длину волны [35].
Описанная картина наблюдалась в условиях экспериментального эпикардиального картирования на фоне действия ниферидила (рис. 4). Анализ картирования показал, что под действием препарата происходило постепенное уменьшение числа одновременно существующих волн возбуждения, увеличение длительности предсердного цикла и снижение частоты активации предсердий с последующим полным прекращением re-entry и восстановлением СР. Эти изменения коррелировали с увеличением ЭРП предсердий под действием препарата. Введение первой дозы (5 мкг/кг) купировало ФП у 4 из 6 собак, что сопровождалось увеличением ЭРП с 93 до 121±6 мс [36]. Следует еще раз подчеркнуть, что ниферидил не влиял на скорость проведения по предсердиям [34].
Таким образом, антиаритмическое действие ниферидила при ФП объясняется увеличением предсердного ЭРП, что сопровождается ростом длины волны и прекращением re-entry (см. рис. 4).
Полученные в экспериментальном исследовании данные об электрофизиологических эффектах ниферидила, его эффективности в купировании и предотвращении ФП позволили предположить, что в диапазоне доз от 5 до 40 мкг/кг препарат должен проявлять антиаритмическое действие при ФП у человека [35, 36].
Клиническое изучение ниферидила: электрофизиологическое действие и эффективность при суправентрикулярных тахикардиях Изучение электрофизиологических эффектов ниферидила у человека проведено в дозах, изученных в экспериментальном исследовании: от 5 до 20 мкг/кг.
При проведении первых внутрисердечных ЭФИ в дозах 5 мкг/кг (n=5) и 10 мкг/кг (n=5) не было обнаружено влияния препарата на проводимость и рефрактерные периоды, препарат не изменял интервалы на электрокардиограмме (ЭКГ), за исключением незначительного удлинения интервала QT. Начиная с дозы 15 мкг/кг (n=5), было отмечено достоверное увеличение рефрактерных периодов обоих предсердий, умеренное увеличение ЭРП правого желудочка и удлинение интервала QT. На фоне дозы 20 мкг/кг (n=8) зарегистрировано дальнейшее удлинение ЭРП правого предсердия в среднем на 67,5 мс, левого предсердия на 78 мс. Следует отметить, что при этом не отмечалось дальнейшего роста рефрактерности в желудочке, что подтверждало экспериментальные данные (см. рис. 3) [36].
В дозе 20 мкг/кг препарат вызывал умеренную синусовую брадикардию, что также согласовывалось с экспериментальными результатами. Единственным электрокардиографическим проявлением действия препарата было удлинение интервалов QT и QTc в среднем на 20%. При этом препарат не влиял на эндокардиальные интервалы предсердной и предсердно-желудочковой проводимости, интервал PQ и длительность комплекса QRS. В исследованных дозах препарат хорошо переносился, не проявляя побочных и проаритмических эффектов.
Таким образом, первые результаты клинических испытаний показали, что ниферидил, начиная с дозы 15 мкг/кг, демонстрировал электрофизиологические свойства и изменения ЭКГ, характерные для препаратов III класса.
Следующим этапом клинических исследований было изучение ниферидила у больных без органического поражения сердца, страдающих пароксизмальными наджелудочковыми тахикардиями [37, 38]. Всем больным проводили внутрисердечное электрофизиологическое исследование (ЭФИ) по стандартному протоколу, в ходе которого определяли электрофизиологические показатели проводящей системы сердца, предсердий и желудочков, аномальных проводящих структур, оценивали индивидуальную воспроизводимость тахикардий.
Среди 30 включенных в исследование больных у 16 были диагностированы различные функциональные типы предсердно-желудочковых аномальных трактов (пучка Кента) и пароксизмальная ортодромная реципрокная тахикардия (ПОРТ); у 12 — продольная диссоциация проведения в АВ-узле и пароксизмальная АВ-узловая реципрокная тахикардия (ПАВУРТ).
У 2 пациентов с феноменом Вольфа— Паркинсона—Уайта (WPW) тахикардия не воспроизводилась (табл. 1).
В случае индукции устойчивой тахикардии изучали купирующий и предотвращающий (повторную индукцию) антиаритмические эффекты препарата (при неустойчивой тахикардии — только предупреждающий). Ниферидил вводили внутривенно однократно в единой дозе 20 мкг/кг. Купирующий эффект констатировали при восстановлении ритма в течение 15 мин от начала введения, после чего проводили повторную эндокардиальную стимуляцию по стандартному протоколу.
Купирующий эффект препарата изучен у 8 из 12 пациентов с ПАВУРТ (у 4 больных имелись лишь неустойчивые пароксизмы). Среди этих больных тахикардия купирована у 6 (75%) из 8 в среднем на 5-й минуте после введения ниферидила. При этом у 5 из 6 пациентов механизмом купирования стала блокада импульса в ретроградном звене re-entry (рис. 5), у 1 больного — блокада в антероградном звене (рис. 6).
Купирование оценивали у 13 из 16 пациентов с ПОРТ. Ортодромная тахикардия купирована у 10 (77%) из 13 больных в среднем на 7-й минуте после введения препарата. У 5 больных прерывание re-entry отмечено в АВ-узле (рис. 7), а у 4 больных — в ретроградном звене — пучке Кента (рис. 8). У 1 больного тахикардия купирована вследствие спонтанно развившегося короткого эпизода мерцания предсердий. В 50% случаев действие ниферидила сопровождалось феноменом частотно-зависимой блокады проведения по системе Гиса—Пуркинье — расширение комплексов QRS по типу блокады правой (рис. 8) или левой ножки пучка Гиса только на фоне тахикардии и никогда на фоне СР. Ниферидил предотвращал повторную индукцию тахикардии у 80% больных с АВ-узловой и у 75% с ортодромной реципрокной тахикардиями.
Основным электрофизиологическим эффектом, определяющим механизм антиаритмического действия ниферидила, было увеличение рефрактерности. ЭРП в правом и левом предсердиях увеличился в среднем с 227 до 276 мс (+49 мс) и с 225 до 272 мс (+47 мс), т.е. на 21,9 и 20,9% соответственно (табл. 2, рис. 9). Рост рефрактерности в правом желудочке был менее выражен — с 217 до 242 мс (+24,8 мс), т.е. на 11,4% и достоверно отличался от прироста рефрактерности в предсердиях. Значительным было увеличение рефрактерности в системе Гиса—Пуркинье (относительный рефрактерный период +36,8%) и пучке Кента (ЭРП в ортоградном направлении +21,5%, ретроградном +34,4%).
Ниферидил не влиял на внутрипредсердную, межпредсердную, предсердно-желудочковую (AH, HV) и внутрижелудочковую проводимость. Препарат незначительно замедлял СР, не оказывая при этом достоверного влияния на показатели автоматической функции СУ (время восстановления функции СУ и его корригированное значение в табл. 2).
Препарат не влиял на продолжительность интервала PQ и комплекса QRS СР (см. табл. 2). Появление морфологии комплекса QRS с блокадой правой или левой ножек пучка Гиса, как описано ранее, наблюдалось исключительно во время тахикардии и являлось частотно-зависимым аберрантным проведением на фоне удлинения рефрактерности системы Гиса—Пуркинье (см. рис. 8).
Отражением замедления процессов реполяризации желудочков было увеличение интервалов QT и QTc, на 86 мс (22,6%) и 91 мс (20,9%) соответственно. Средняя длительность интервала QT после введения препарата составила 466,5±36,5 мс, и лишь у 4 (13,3%) пациентов превысила 500 мс. У одного пациента действие препарата сопровождалось резким удлинением интервала QT от 382 до 637 мс и интервала QTc от 431 до 703 мс. Это сопровождалось частой желудочковой экстрасистолией по типу бигимении и двумя короткими пробежками полиморфной ЖТ типа torsade de pointes (TDP). Желудочковая экстрасистолия подавлялась частой стимуляцией предсердий 100 имп/мин и полностью исчезла через 60 мин (рис. 10).
Результаты внутрисердечных ЭФИ подтвердили, что в дозах 15 и 20 мкг ниферидил демонстрирует типичные эффекты препаратов III класса: увеличивает рефрактерность предсердий и желудочков, системы Гиса—Пуркинье, не влияя на показатели проводимости. Увеличение рефрактерных периодов АВ-узла, его быстрого и медленного путей у пациентов с продольной диссоциацией АВ-узла, а также рефрактерных периодов пучка Кента в ортоградном и ретроградном направлениях (см. табл. 2) является ключевым механизмом антиаритмического действия ниферидила у больных с АВ-узловой тахикардией и атриовентрикулярными тахикардиями с участием дополнительных проводящих путей.
Следует подчеркнуть, что увеличение рефрактерности в обоих предсердиях было в 2 раза больше, чем в правом желудочке (см. табл. 2 и рис. 8). Это позволило предположить потенциально высокую антиаритмическую активность препарата при ФП и ТП.
Клиническое исследование ниферидила: медикаментозная кардиоверсия при персистирующей ФП и ТП В продолжение клинических испытаний оценены эффективность и безопасность ниферидила в качестве средства для медикаментозного восстановления ритма при ФП и ТП. Основываясь на данных экспериментальных и клинических ЭФИ, для этой цели предложили использовать препарат в дозах от 10 до 30 мкг/кг внутривенно. В исследование включали пациентов старше 18 лет с ФП или ТП продолжительностью 7 сут и более.
Критериями исключения были сердечная недостаточность или фракция выброса левого желудочка ≤40%, пороки сердца, обусловливающие необходимость хирургической коррекции, проаритмическое действие АПП в анамнезе, ЖТ или фибрилляция желудочков, синкопальные состояния, синдром удлиненного интервала QT, синусовая брадикардия (<50 уд/мин) в анамнезе, нарушения проводимости любой степени и уровня, брадисистолическая форма ФП (<60 уд/мин в дневное время), дисфункция щитовидной железы с измененным гормональным статусом, гипокалиемия <3,5 ммоль/л, гипомагниемия <0,45 ммоль/л, клинически значимые (более 2-кратного) повышения активности аланинаминотрансферазы, аспартатаминотрансферазы и уровня креатинина в крови, бронхиальная астма, невозможность отмены ААП.
Следует отметить, что эта работа выполнялась на протяжении длительного времени и предварительные результаты, опубликованные раннее [39—45], несколько отличаются от представленных в настоящем сообщении.
В исследование были включены 134 пациента — 111 с ФП и 23 с ТП. Общая клиническая характеристика больных, их основная и сопутствующая патология представлены в табл. 3 и 4.
Всем больным перед проведением медикаментозной кардиоверсии были отменены любые ААП, в том числе β-адреноблокаторы, а также дигоксин. Отсутствие внутриполостного тромбоза верифицировали при чреспищеводной эхокардиографии. Все больные получали антитромботическое лечение в соответствии с международными рекомендациями.
Методика медикаментозной кардиоверсии. Процедура медикаментозной кардиоверсии ниферидилом (0,1% раствор) состояла из трех последовательных этапов:
- введение препарата в дозе 10 мкг/кг в течение 3 мин;
- повторное введение в той же дозе, если через 15 мин не восстановлен СР (суммарно — 20 мкг/кг);
- через 15 мин при сохраняющейся ФП — третий болюс 10 мкг/кг (суммарно — 30 мкг/кг).
Условиями прекращения введения препарата на любом из этапов были:
- восстановление СР;
- частота сердечных сокращений <50 уд/мин;
- развитие аритмогенных или иных побочных эффектов.
Введение каждой из доз препарата сопровождалось регистрацией ЭКГ в 12 отведениях. Оценку интервала QT проводили по методу Lepeshkin и Surawic [46]. Коррекцию интервала QT осуществляли по формуле Bazzett. Антиаритмическим эффектом препарата считали восстановление СР в течение ближайших 24 ч от введения препарата. Критериями аритмогенного действия препарата считали появление желудочковых нарушений ритма, в том числе одиночных или групповых желудочковых эктопических сокращений, ЖТ, фибрилляции желудочков. С целью ретроспективного анализа ЭКГ, в том числе почасовой динамики электрической активности предсердий, ширины и морфологии комплексов QRS, интервалов QT/QTc и интервалов RR проводили холтеровское мониторирование (ХМ) ЭКГ в 12 отведениях, которое начинали за 1 ч до введения препарата и продолжали в течение 24 ч от начала введения. Введение препарата и последующее наблюдение в течение 24 ч осуществляли в палате интенсивного наблюдения.
Результаты исследования
После введения первого болюса (10 мкг/кг) СР был восстановлен у 67 из 134 пациентов, в том числе у 53 с ФП и 14 с ТП. У 4 пациентов дальнейшее введение препарата было прекращено в связи с удлинением интервала QT или QTc более 500 мс. У одного из этих пациентов СР восстановился к 22-му часу наблюдения, что соответствовало критериям достигнутого эффекта (см. выше).
Таким образом, ниферидил в дозе 10 мкг/кг был эффективен у 50% пациентов, включенных в исследование. Восстановление ритма происходило в среднем на 9±4-й минуте от начала введения.
Оставшимся 64 пациентам был введен второй болюс препарата, что составило суммарную относительную дозу 20 мкг/кг. Восстановление ритма произошло у 24 пациентов, в том числе у 16 с ФП и 8 с ТП, что составило еще 18% от общего числа включенных в исследование. Восстановление ритма происходило в среднем на 24±4-й минуте от начала введения.
Третий болюс в 10 мкг/кг был введен оставшимся 40 пациентам (суммарная относительная доза 30 мкг/кг).
СР был восстановлен у 26 из них (19,4% от общего числа пациентов), в том числе у 25 с ФП и 1 с ТП. Восстановление ритма произошло в сроки от 37 мин до 24 ч от начала введения препарата. Медиана времени до купирования аритмии в этой группе составила 71 мин.
Таким образом, восстановление СР произошло у всех 23 (100%) пациентов с ТП (рис. 11). При этом у большинства — 14 (61%) пациентов эффективной оказалась доза 10 мкг/кг, второй болюс (суммарная доза 20 мкг/кг) обеспечил восстановление ритма еще у 8 пациентов (суммарная эффективность 95,6%). Примечательно, что только в одном случае для купирования ТП потребовалась максимальная доза 30 мкг/кг (см. рис. 11).
Восстановление СР, достигнутое у всех 23 пациентов с ТП, в большинстве случаев произошло в течение первого получаса, а медиана времени до купирования аритмии составила 18 мин.
Ниферидил был эффективен у 94 (85%) пациентов из 111 с персистирующей ФП: у 53 (50%) пациентов эффективной оказалась доза в 10 мкг/кг (1 болюс), у 16 (14,4%) СР был восстановлен после второго болюса и у 25 (22,5%) потребовалось использование 3 болюсов.
Таким образом, эффективность ниферидила у пациентов с ФП составила при применении в дозе 10 мкг/кг — 50%, в дозе до 20 мкг/кг — 62%, в дозе до 30 мкг/кг — 85% (см. рис. 11). В целом по группе медиана времени до купирования ФП составила 10 (3–1440) мин.
Среди пациентов, включенных в исследование, были 4 с ранее неэффективной электрической кардиоверсией. У 2 из них СР был восстановлен ниферидилом в дозе 30 мкг/кг, и еще у 1 — в дозе 10 мкг/кг.
Введение ниферидила во всех случаях сопровождалось электрокардиографическим феноменом трансформации нерегулярных высокочастотных осцилляций ФП в регулярные низкочастотные волны ТП. В 90% случаев это была электрокардиографическая картина атипичного трепетания. У оставшихся 10% больных наблюдалась трансформация ФП в типичное ТП. На рис. 12, А зарегистрирована ФП с интервалами между волнами ff=120–140 мс. Через 10 мин после введения препарата регистрируется электрокардиографическая картина типичного ТП с частотой 220 в минуту и интервалами FF=280 мс (рис. 12, Б). Подобная трансформация, как правило, предшествовала восстановлению СР, а если этого не происходило, видоизмененная электрическая активность предсердий сохранялась до введения следующих болюсов препарата.
Был проведен анализ динамики интервалов QT/QTc, зарегистрированных 12-канальным ХМ ЭКГ после восстановления СР.
Среди 66 пациентов с ФП/ТП, у которых СР был восстановлен после введения первого болюса (т.е. в пределах 15 мин от начала введения), средняя продолжительность QT после восстановления СР составила 459±48 мс, QTc — 460±42 мс и не превышала значения 500 мс в течение всего периода наблюдения (рис. 13, 14). Продолжительность интервала QT достигла нормы к 3-му часу, а QTc — к 21-му часу наблюдения. При этом абсолютные значения QT на СР превысили 500 мс у 6 (9%) человек.
Хотя процент пациентов, у которых длительность интервалов QT и QTc превысила 500 мс, был больше среди получивших 2 и 3 болюса препарата, чем у больных с эффектом 10 мкг/кг ниферидила, средние величины интервалов QT и QTc, измеренные в пределах 1 мин после устранения ФП и ТП, в трех группах пациентов достоверно не различались.

Существенные различия выявлены при сопоставлении суточной динамики этих показателей на ХМ ЭКГ. Среди пациентов, которым было введено 10 мкг/кг ниферидила, максимальные значения интервалов QT и QTc регистрировались в первые 15 мин от начала введения препарата, составив 472±49 и 486±33 мс соответственно. Причем оба эти показателя были больше соответствующих величин, зарегистрированных на ЭКГ в 1-ю минуту после купирования (463±28 и 465±38 мс), для QT этот различие было недостоверным (р=0,2799), для интервала QTс — достоверным (р=0,0073). В дальнейшем, по данным ХМ ЭКГ, все сутки отмечалось уменьшение величины обоих показателей, достоверное уже к 30-м минутам после начала кардиоверсии, причем продолжительность QT достигла нормы к 3-му часу, а QT c — к 21-му часу мониторирования.
У пациентов, для которых была эффективна доза 20 мкг/кг, показатель QT в 1-ю минуту после купирования (480±32 мс)достоверно не отличался от показателя первых 30 мин по ХМ ЭКГ (482±87 мс), максимального за сутки (р=0,9323). Средняя величина QTc в первые 30 мин по ХМ ЭКГ (498±41 мс), также максимальная за сутки, достоверно превысила показатель 1-й мин после купирования (465±42 мс) в этой группе пациентов (р=0,0386).
Дальнейшее укорочение обоих интервалов у пациентов с эффектом от 2 болюсов ниферидила происходило медленнее, чем у пациентов с эффектом от 1 болюса препарата, и достигло статистической значимости только к 22—23-му часу, причем продолжительность интервала QT к этому моменту уменьшилась практически до нормы — 447±33 мс, а продолжительность интервала QTc превышала норму до конца мониторирования.
Среди пациентов, получивших 3 болюса ниферидила, первые, оцениваемые на фоне СР, значения QT и QTc, по данным ХМ ЭКГ, соответствовали таковым в течение 1-го часа от начала введения препарата. К этому моменту СР восстановился только у 11 из 23 пациентов этой группы. Средние значения QT и QTc в это время составили 466±53 и 484±42 мс и не отличались достоверно от соответствующих показателей, зарегистрированных на ЭКГ в 1-ю мин после купирования (461±48 и 472±66 мс; р=0,08071 и 0,6014 соответственно).
Среди 23 пациентов с эффективной кардиоверсией после 2 болюсов в 1-ю мин после купирования средний интервал QT был 474±44 мс, а QTc — 464±45 мс. Максимальные значения QT, как и после первого болюса, регистрировались в течение первых 30 мин. Абсолютные значения интервала QT более 500 мс зафиксированы у 5 (22%) пациентов. Средняя величина QT в течение суток не превышала 500 мс, максимально достигая 482 мс в течение первых 30 мин после введения препарата. Средние значения QTс после 2 болюсов кратковременно (между 4-м и 5-м часами) превысили 500 мс (см. рис. 13 и 14). При этом нормализация обоих интервалов происходила медленнее. Длительность интервала QT возвращалась к норме исходу 22—23-го часа наблюдения, а QTc немного превышал нормальные значения до конца мониторирования.
У 26 пациентов, получивших 3 болюса ниферидила, первые оцениваемые на фоне СР значения QT и QTc были зарегистрированы через 1 ч от начала введения препарата. К этому моменту СР был восстановлен у 11 из 23 пациентов этой группы. Средние значения QT и QTc в это время составили 466±53 и 484±42 мс. Затем динамика обоих интервалов была в целом аналогична таковой у пациентов с эффектом от 2 болюсов препарата, за исключением удлинения QTc к 3-му часу от начала введения до 513±54 мс. Колебания продолжительности QTв течение суток не достигали уровня статистической значимости до 22-го часа наблюдения, когда его величина уменьшилась до нормальной (см. рис. 13). Средняя величина QTc не достигла нормы до конца наблюдения (см. рис. 14). Превышение интервала QT более 500 мс отмечено у 3 (11,5%) пациентов этой группы.
Следует заметить, что различия в абсолютных значениях интервалов QT, зарегистрированных сразу после восстановления СР с использованием 1, 2 или 3 болюсов, не достигали степени статистической значимости.
Продолжительность текущего эпизода ФП у включенных в исследование больных варьировалась от 7 дней до 24 мес при средней длительности аритмии в 4,3±3,9 мес (см. табл. 3).
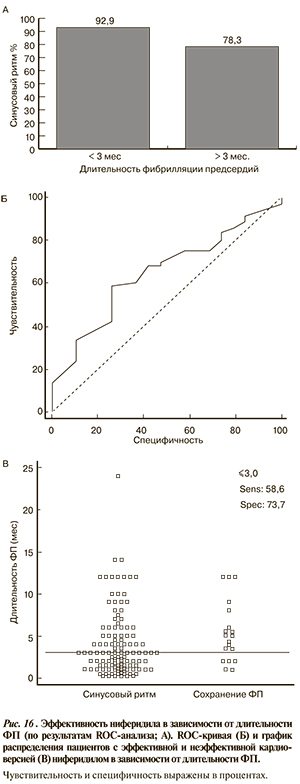
Эффективность кардиоверсии в группах больных с различной длительностью текущего эпизода ФП представлена на рис. 15. При длительности ФП от 7 до 45 сут эффективность препарата оказалась чрезвычайно высокой — 94%, а средняя эффективная доза составила 17±7,8 мкг/кг. В группе больных с продолжительностью ФП от 7 сут до 3 мес эффект был достигнут в 90% случаев, а средняя доза препарата достигала 17±8,4 мкг/кг.
Ниферидил был эффективен у 77% больных с ФП от 3 до 6 мес при средней дозе в 20±9,7 мкг/кг и у 88% при длительности ФП от 6 до 12 мес при средней дозе в 19±9,9 мкг/кг. Наконец, в группе с максимальной длительностью ФП (более 1 года) эффективность составила 72% при средней эффективной дозе в 19±10,4 мкг/кг.

У пациентов с неэффективной кардиоверсией средняя продолжительность текущего эпизода ФП была достоверно больше, чем в группе с восстановленным СР: 5,4±3,6 мес против 4,1±4,1 мес (p< 0,04). ROC-анализ подтвердил зависимость эффекта препарата от длительности ФП: площадь под ROC-кривой составила 0,647 (при 95% доверительном интервале от 0,561 до 0,728).
При оптимальном уровне отсечения в 3 мес чувствительность анализа составляет 58,6%, а специфичность — 72,7%. Разделение пациентов на подгруппы с длительностью эпизода ФП менее 3 мес и более 3 мес выявляет статистически значимые различия эффективности ниферидила — в 93 и 78% соответственно (p<0,02) (рис. 16, 17).
Более чем в 90% наблюдений действие ниферидила сопровождалось частотно-зависимым аберрантным расширением комплекса QRS либо на фоне тахисистолической фибрилляции предсердий, либо в предсердных экстрасистолах после восстановления СР (см. рис. 17). Природа данных аберраций показана при регистрации потенциалов пучка Гиса во время внутрисердечного ЭФИ и обусловлена попаданием импульса в относительный рефрактерный период системы Гиса—Пуркинье, удлиненный под действием ниферидила, но не угнетением проведения. Данное явление не относится к числу проаритмических эффектов препарата и не является предвестником их развития.

Побочные эффекты ниферидила. Устойчивых эпизодов ЖТ типа TDP зарегистрировано не было. У 1 (0,7%) пациента при введении дозы 10 мкг/кг отмечалось удлинение интервала QT до 750 мс (на фоне ФП) и появление пробежек полиморфной ЖТ максимальной продолжительностью до 9 комплексов, которые спонтанно прекратились через 15 мин. Восстановление СР у этого пациента произошло через 22 ч, а интервал QT/QTc к этому времени составил 424/468 мс.
Еще у 3 пациентов после введения первого болюса произошло удлинение интервала QT более 500 мс без аритмогенных проявлений, в связи с чем дальнейшее введение препарата прекратили. Антиаритмический эффект у этих больных достигнут не был.
У 5 (3,7%) пациентов после введения препарата регистрировались редкие неустойчивые пробежки мономорфной ЖТ.
В 3 (2,2%) случаях отмечено возрастание общего числа одиночных желудочковых экстрасистол на ХМ ЭКГ по сравнению с контрольным, зарегистрированным до введения ниферидила.

Паузы в работе СУ более 3 с при купировании аритмии зарегистрированы у 9 пациентов, а синусовая брадикардия с частотой сердечных сокращений менее 50 в мин после восстановления ритма — у 6. Паузы и синусовая брадикардия могут быть связаны с так называемым постконверсионным угнетением автоматической функции СУ. Данный феномен нередко наблюдается и без использования ААП — при электрической кардиоверсии и спонтанном восстановлении СР.
Обсуждение
Ниферидил, как и его предшественник и структурный аналог нибентан, является ААП III класса. Как и у нибентана, основным ионным механизмом действия ниферидила являются блокада калиевых токов задержанного выпрямления — IKr и IKs, увеличение продолжительности ПД за счет удлинения реполяризации и увеличение рефрактерных периодов миокарда предсердий и желудочков (см. рис. 2) [25, 33, 47, 48].
По результатам экспериментальных исследований, нибентан и ниферидил по-разному влияли на рефрактерность предсердий и желудочков. Нибентан в дозе 0,06 мг/кг увеличивал ЭРП в одинаковой степени как в предсердиях, так и в желудочках в среднем на 18%, а в дозе 0,125 мг/кг — на 30 и 23% соответственно [25, 47]. Под действием ниферидила прирост ЭРП предсердий начинался с дозы в 1 мкг/кг, достигая 45% при дозе 40 мкг/кг, тогда как ЭРП желудочка только при этой дозе достоверно начинал отличаться от контрольного значения (см. рис. 3) [33].
В клинических исследованиях при внутрисердечном ЭФИ нибентан в дозе 0,125 мг/кг увеличивал ЭРП в левом предсердии на 18,9%, а в правом желудочке — на 16%, удлинял QT/QTc на 22% [27, 29, 30]. При проведении подобных тестов с ниферидилом в дозе 20 мкг/кг ЭРП левого предсердия возрастал на 20,9%, а правого желудочка — на 11,4%, интервалы QT/QTc удлинялись на 22,6 и 20,9% соответственно [37, 38].
Таким образом, в клинических ЭФИ показано, что ниферидил имеет некоторое преимущество перед нибентаном во влиянии на рефрактерность предсердий. К сожалению, остается неизвестным за счет каких ионных механизмов достигается это различие электрофизиологических эффектов двух препаратов. Необходимо подчеркнуть, что бóльшая выраженность влияния ниферидила на рефрактерность предсердий по сравнению с желудочками может определять его высокую эффективность в отношении предсердных тахиаритмий и, возможно, более низкую вероятность желудочковых проаритмических эффектов.
Механизмом антиаритмического действия ниферидила и нибентана при ФП и ТП является удлинение ПД предсердных волокон за счет замедления реполяризации и, как следствие, увеличение предсердного ЭРП. При картировании в экспериментальных исследованиях показано, что увеличение рефрактерности предсердий под действием обоих препаратов приводит к увеличению длины волны re-entry, снижению частоты волн фибрилляции и последующему прекращению циркуляции импульса в анатомически ограниченном пространстве предсердий (см. рис. 4) [26, 35, 49, 50]. Есть основания полагать, что механизм антиаритмического действия ниферидила при ФП у человека реализуется так же. Зарегистрированный нами феномен трансформации ФП в ТП у человека отражает описанный выше механизм: увеличение рефрактерности в предсердиях приводит не только к удлинению волны более чем в 2 раза, но и к ee структурной и электрокардиографической трансформации в ТП (см. рис. 12).
Ниферидил проявил крайне высокую эффективность в восстановлении СР: до 84,6% при персистирующей ФП и до 100% при ТП, что оказалось выше эффективности нибентана (68% при ФП) при его использовании у больных той же категории [30].
Абсолютная (100%) антиаритмическая эффективность ниферидила (как и нибентана) при ТП не типична для других препаратов III класса. Механизмом ТП служит анатомически определенное или анизотропное re-entry c бóльшим «окном», частично или полностью возбудимым [51]. ААП III класса, увеличивая рефрактерность, резко уменьшают или полностью устраняют возбудимое окно и прерывают re-entry. Считается, что именно размер возбудимого участка определяет антиаритмическую эффективность препаратов этого класса [52]. В связи с этим препараты III класса должны быть наиболее эффективны при тахиаритмиях с коротким возбудимым окном — ФП и ТП II типа. Напротив, ТП I типа должны эффективнее купировать замедляющие проведение блокаторы натриевых каналов. Вероятно, столь высокая эффективность ниферидила (как и нибентана) при ТП может быть связана со столь выраженным увеличением рефрактерности, что оно становится вполне достаточным для устранения аритмий как с коротким, так и длинным возбудимым «окном».
В настоящее время нет ААП, рекомендованных для медикаментозной кардиоверсии персистирующей ФП/ТП.
Для восстановления ритма при пароксизмальной, недавно возникшей, так называемой resent-onset ФП (продолжительностью не более 48 ч) рекомендованы ибутилид и амиодарон. Вернакалант может использоваться в тех же целях при длительности ФП до 7 дней [7].
Ибутилид — препарат III класса, блокирует ток Ikr, а в малых концентрациях активирует медленный входящий ток Ina [53].
В плацебо-контролируемом исследовании у 200 больных с ФП и ТП продолжительностью от 3 ч до 90 дней ибутилид был эффективен в среднем в 29% случаев при ФП и 38% при ТП. Препарат вызывал удлинение интервалов QT/QTc, что сопровождалась развитием полиморфной ЖТ в 3,6% случаев [54]. В другом исследовании у больных с органическим поражением сердца и увеличенными размерами левого предсердия ибутилид применялся при ФП/ТП продолжительностью от 3 ч до 45 дней и был эффективен в 63% случаев при ТП и 31% – при ФП. При этом в 8,3% развивалась полиморфная ЖТ, типа TDP [19].
Новый антиаритмический препарат III класса вернакалант блокирует ультрабыстрый калиевый ток (Ikur) в предсердиях, оказывает незначительное влияние на быстрый (Ikr) и медленный (Iks) токи задержанного выпрямления, блокирует кратковременный калиевый (Ito) и натриевый (INa) токи [55]. Вернакалант стал первым препаратом, допущенным к клиническому применению из группы средств с так называемой предсердно-селективной активностью. Концепция применения подобных препаратов предполагает воздействие преимущественно на предсердные калиевые токи — Ikur и или IkAch. Термин «селективность» в отношении этих препаратов следует понимать с известной долей условности, поскольку возможность блокады одного калиевого тока без влияния на другие не доказана. Вместе с тем такие «селективные» препараты, реализуя антиаритмическую активность преимущественно в предсердиях, не оказывали бы влияния на реполяризацию желудочков и не проявляли бы аритмогенности [12, 56, 57].
В серии клинических испытаний вернакалант оказался высоко эффективным при недавно возникшей ФП. При длительности аритмии менее 7 сут препарат восстанавливал СР у 50—52% пациентов, а при продолжительности ФП не более 72 ч был эффективен в 70—80% случаев; препарат не удлинял QTc и не вызывал полиморфной ЖТ типа TDP [20, 21]. В исследовании AVRO вернакалант купировал ФП продолжительностью менее 48 ч в 51% случаев, продемонстрировав 10-кратное преимущество в эффективности перед амиодароном [58]. Однако при персистирующей ФП продолжительностью от 8 до 45 сут вернакалант восстанавливал ритм лишь в 8—9% случаев, а при ТП той же продолжительности — у 2,5—7% больных [20, 21].
Ниферидил при ФП от 7 до 45 сут проявил экстраординарную эффективность, равную 94% (см. рис. 15). Следует подчеркнуть, что продолжительность текущего эпизода ФП незначительно снижала эффективность ниферидила: у пациентов с длительностью ФП ≤3 мес ниферидил был эффективен в 93% случаев, а при длительности ФП >3 мес — в 78% (см. рис. 15—17). При этом эффективная доза ниферидила не зависела от продолжительности текущего эпизода ФП и составляла в среднем 19 мкг/кг.
Закономерным представляется вопрос о причинах быстрой утраты антиаритмической активности одними препаратами III класса (например, вернакалантом), при том, что другие препараты того же класса (нибентан, ниферидил) сохраняют высокую эффективность у больных с длительно персистирующей ФП.
Возможной причиной этого является ремоделирование предсердий. В литературе выделяют так называемое тахиаритмическое ремоделирование — atrial tachyarrhythmias remodeling. Высокая частота сокращений предсердий при возникновении ФП приводит к перегрузке кальцием кардиомиоцитов. Цитотоксическое действие Ca2+ угнетает входящий ток ICaL и, как следствие, приводит к укорочению ПД и уменьшению рефрактерности в предсердиях, а это формирует условия для устойчивой фибрилляции [59].

Показано, что ремоделирование затрагивает, прежде всего, предсердный ток Ikur как крайне чувствительный к оксидантам, образующимся в клетке при возникновении ФП [60]. Утрата одной из ключевых ионных мишеней для действия вернакаланта может приводить к уменьшению антиаритмической активности.
Напротив, в экспериментальных исследованиях показана устойчивость токов Iks и Ikr к процессам раннего ремоделирования [61]. Учитывая, что токи Iks и Ikr являются ионными мишенями для нибентана и ниферидила, можно предположить, что это предопределяет высокую антиаритмическую активность обоих препаратов при длительных ФП и ТП.
Однако остается неясным, почему препараты одного класса, действуя на одинаковые ионные токи, проявляют существенно разную антиаритмическую активность и обладают различным проаритмическим потенциалом.
В экспериментальном исследовании показан еще один потенциально полезный механизм антиаритмического действия ниферидила. Препарат удлинял продолжительность ПД и увеличивал ЭРП в области устьев легочных вен, электрическая активность которых играет роль «триггеров» ФП, что может обеспечивать дополнительный вклад в антиаритмический эффект [62].
Проаритмическое действие ниферидила в виде неустойчивой полиморфной ЖТ в наших исследованиях отмечено дважды: при использовании препарата в ходе внутрисердечного ЭФИ (20 мкг/кг) и еще в одном случае (10 мкг/кг) – при медикаментозной кардиоверсии. В обоих случаях развитие полиморфной ЖТ было сопряжено со значительным удлинением интервалов QT/QTc.
Риск развития полиморфной ЖТ типа TDP при использовании препаратов III класса чрезвычайно варьируется: при использовании вернакаланта — 0, амиодарона — 0,7%, азимилида —1%, дофетилида — до 10%, ибутилида — до 8%, нибентана — 3% [17—21, 30, 63—65].
Механизм развития полиморфной ЖТ при использовании препаратов III класса связан с удлинением реполяризации ПД в желудочках (преимущественно за счет блокады тока Ikr), усилением трансмуральной дисперсии реполяризации и активации преждевременных деполяризующих входящих токов, известных как ранние постдеполяризации (EADs), индуцирующих TDP [66]. Удлинение интервала QT как электрокардиографического маркера замедления процессов реполяризации в желудочках может служить предиктором развития TDP при использовании Ikr блокаторов, таких как соталол, дофетилид, ибутилид, а также нибентан и ниферидил [67].
В настоящем исследовании превышение абсолютных значений QT/QTc до 500 мс (что считается потенциально опасным рубежом удлинения интервала QT) зарегистрировано у 14 (10,4%) больных при использовании всех доз ниферидила – от 10 до 30 мкг/кг. В 3 случаях введение препарата было прекращено на первом этапе введения (10 мкг/кг) из-за удлинения QT более 500 мс.
Механизмы, определяющие индивидуально повышенный риск желудочковых аритмогенных эффектов, обусловленных избыточным удлинением интервала QT, неясны. Предложена теория «резерва реполяризации», предполагающая, что сложные и множественные механизмы реполяризации могут изменяться под влиянием субклинических мутаций, полиморфизма ионных каналов, ряда иных патологических воздействий. Эти изменения приводят к снижению «резерва реполяризации» и клинически проявляются в виде удлинения интервала QT и развития полиморфной ЖТ типа TDP только при применении препаратов, удлиняющих реполяризацию и, прежде всего, ААП III класса [68].
Ниферидил является блокатором, в том числе быстрого компонента калиевого тока, что обеспечивает его высокую антиаритмическую активность, но при этом несет потенциальный риск развития аритмогенных эффектов. Требуется дальнейшее изучение препарата с участием большого числа больных, что позволит более точно определить соотношение пользы и риска в использовании нового антиаритмического средства.
Заключение
Ниферидил — новейший антиаритмический препарат III класса, блокатор калиевых токов с преобладающим влиянием на рефрактерность предсердий. Ниферидил высоко эффективен в качестве средства для медикаментозной кардиоверсии персистирующей фибрилляции и трепетания предсердий. Эффективность препарата в дозе до 30 мкг/кг при длительности фибрилляции предсердий менее 3 мес составила 93%, более 3 мес — 78%. Эффективность препарата в дозе до 30 мкг/кг при трепетании предсердий длительностью менее 12 мес составила 100%.
Препарат хорошо переносится и достаточно безопасен — неустойчивая полиморфная желудочковая тахикардия отмечена в 2 случаях, что составило 1,2% от суммарного опыта применения этого препарата: у 30 больных, участвовавших в изучении электрофизиологических эффектов ниферидила, и 134 больных при лекарственной кардиоверсии персистирующей фибрилляции и трепетания предсердий.



