Точное прогнозирование течения ишемической болезни сердца (ИБС) необходимо для создания индивидуальной тактики ее лечения. Кроме общепринятых клинических и инструментальных параметров в последнее время стали использовать так называемые биомаркеры, среди которых наиболее информативным оказался мозговой натриуретический пептид (BNP). Он присутствует в плазме периферической крови в виде предшественника длиной 108 аминокислот, который частично олигомеризован, и двух фрагментов, образующихся после протеолитического расщепления предшественника BNP: N-концевого (76 аминокислот) и C-концевого (32 аминокислоты). В англоязычной литературе эти фрагменты получили обозначения NT-BNP и BNP-32 соответственно. Считается, что повышенный уровень BNP в плазме крови указывает на наличие сердечной недостаточности и, возможно, ассоциирован с неблагоприятным течением ИБС.
ИБС — многофакторное полигенное заболевание, при этом риск развития неблагоприятных исходов максимален у больных, перенесших острый коронарный синдром (ОКС). Индивидуальные генетические особенности пациента играют существенную роль в развитии и тяжести заболевания. Ввиду того что в патогенезе обострения атеросклероза участвуют факторы тромбообразования, системы обмена липидов, определенные аллельные варианты генов, кодирующих эти факторы, также могут играть роль в определении риска обострения.
Субстратом для тромбина является фибриноген, в результате протеолитического расщепления которого образуется фибриновый сгусток. Фибриноген также играет важную роль в процессе агрегации тромбоцитов [1]. Полиморфный маркер G(—455)A гена FGB ассоциирован с уровнем фибриногена в плазме крови, наличие остатка A в положении —455 определяет повышенный уровень транскрипции гена FGB[2]. Таким образом, ген FGB, кодирующий β-цепь фибриногена, может быть одним из кандидатов при изучении течения ИБС.
Активная форма протеина С расщепляет факторы свертывания V и VII, останавливая активацию гемостаза, участвует в процессах воспаления. В промоторной области гена PROC, расположенного на хромосоме 2q13— q14, находятся несколько полиморфизмов [3] и были обнаружены корреляция между определенными гаплотипами полиморфных маркеров C(—1654)T, A(—1641)G и A(—1476)T гена PROC и уровнем протеина С, а также ассоциация этого гена с венозными тромбозами [4]. Поэтому ген PROC, кодирующий синтез протеина С, также является перспективным кандидатом.
Аполипопротеин В играет ключевую роль в транспорте липидов. Этот аполипопротеин — один из основных белков, входящих в состав липопротеидов очень низкой плотности и липопротеидов низкой плотности (ЛНП). Он входит в состав атерогенных липопротеидов всех классов, а его уровень ассоциируется с риском развития атеросклероза сильнее, чем уровень холестерина ЛНП. Ген аполипопротеина B (APOB) расположен на 2-й хромосоме в области 2p23—p24 и содержит несколько полиморфных участков. В промоторной области гена APOB был обнаружен полиморфизм C(—516)T и на культуре клеток было показано, что фрагмент ДНК, содержащий аллель T, обеспечивает более высокий (на 30—40%) уровень экспрессии по сравнению с фрагментом ДНК, содержащим аллель C [5].
Целью нашего исследования было изучение вклада генетических факторов и уровня BNP в оценку риска у больных, перенесших обострение ИБС, в добавление к хорошо изученным факторам риска.
Материал и методы
Были обследованы больные, поступившие по поводу ОКС, в городские клинические больницы № 51 и № 17 Москвы. Наблюдение за больными начинали на 10-й день стабильного состояния. Больные, у которых в результате ОКС не сформировался инфаркт миокарда (ИМ) с зубцом Q, должны были быть госпитализированы не позднее 72 ч от момента начала заболевания; в случае формирования ИМ с зубцом Q этот срок не должен был превышать 10 сут. Настоящее исследование является частью Российского многоцентрового наблюдательного проспективного исследования по изучению вклада генетических факторов в риск развития неблагоприятных исходов у больных, перенесших обострение ИБС.
У всех больных определяли уровень креатинина, общего белка, глюкозы, мочевой кислоты, липидного состава крови, BNP, проводили генотипирование и трансторакальную эхокардиографию.
При наблюдении за больными оценивали частоту развития определенных сосудистых эпизодов — фатального и нефатального ИМ, фатального и нефатального инсульта. Наличие конечных точек констатировали на основании телефонного контакта или амбулаторного приема.
Поскольку в нашей стране хирургическая реваскуляризация миокарда выполняется редко, состояние больных, подвергшихся вмешательству на коронарных артериях, учитывали только до момента вмешательства, в последующем больных считали «потерянными» для наблюдения.
Характеристика больных. Всего обследованы 324 больных: 56% мужчин и 44% женщин. Средний возраст составил 63,9±0,8 года. Диагноз ИБС в анамнезе был установлен у 64,6% больных, из них 27,4% перенесли ИМ. Артериальная гипертензия (АГ) имелась у 83,4% больных, из них 56,6% принимали гипотензивные препараты. Симптоматический периферический атеросклероз отмечался у 5,2% пациентов. Указания на недостаточность кровообращения в анамнезе имелись у 35,1% пациентов. Инсульт перенесли 8,6% больных. Сахарный диабет (СД) в анамнезе был у 18,5% пациентов. О повышенном уровне холестерина знали 26,5% больных, однако лишь 5,5% пациентов до госпитализации получали терапию липидснижающими препаратами. Курили на момент госпитализации 35,7% больных, еще 15,1% курили в прошлом. Индекс Кетле в среднем составил 28,6±0,264, у 78,4% больных индекс был более 25, у 34,2% — более 30. Среди женщин, включенных в исследование, у 6 (4,2%) был сохранен менструальный цикл.
На 10-е сутки стабильного состояния, на момент начала наблюдения за больными, недостаточность кровообращения отмечалась у 45,4% пациентов. Среднее систолическое артериальное давление (АД) составило 120,21±0,69 мм рт.ст., диастолическое АД — 74,59±0,43 мм рт.ст., частота сердечных сокращений — 67,69±0,543 уд/мин.
Средний уровень общего холестерина в пробах крови, взятых на 10-й день стабильного состояния больного, составил 4,55±0,072 ммоль/л, средний уровень ЛНП — 2,51±0,052 ммоль/л, липопротеидов высокой плотности — 0,96±0,015 ммоль/л, триглицеридов — 2,07±0,066 ммоль/л. Повышение уровня общего холестерина более 5,2 ммоль/л отмечалось у 29,5% пациентов. Средний уровень глюкозы составил 5,46±0,123 ммоль/л. Повышение уровня глюкозы наблюдалось у 31,7% больных. Средний уровень креатинина составил 112,95±1,857 ммоль/л, уровень мочевой кислоты — 390,75±6,420 ммоль/л.
Нарушение локальной сократимости миокарда, по данным эхокардиографии, отмечалось у 58,5% пациентов. Фракция выброса в среднем составила 51,53±0,735. С фракцией выброса менее 40 было 18,5% больных. С учетом изменений на электрокардиограмме и степенью повышения фракции МВ креатинфосфокиназы на момент включения в исследование (10-е сутки стабильного состояния) 55,1% больных отвечали критериям ИМ с формированием зубца Q (QИM), 18,5% — критериям ИМ без зубца Q (HeQИM), 25,5% — критериям нестабильной стенокардии (НС).
Больные получали стандартную терапию по поводу ОКС. Все препараты назначались на основании действующих рекомендаций. После стабилизации терапия также включала рекомендованные препараты, применяемые при ИБС, сопутствующих состояниях, и препараты, направленные на коррекцию некоторых факторов риска. На момент включения в исследование 91,7% пациентов получали антиагреганты, 48,9% — нитраты, 91,7% — (β-адреноблокаторы, 88% — ингибиторы ангио- тензинпревращающего фермента, 57,5% — статины, 17,5% — блокаторы кальциевых каналов, 16,6% — петлевые диуретики, 32,6% — тиазидные, 21,5% — другие диуретики. За период пребывания в стационаре 25,2% больных получили тромболитики, 91,7% — нитраты, 71,1% — нефракционирован-ный гепарин (НФГ), 17,8% — низкомолекулярный гепарин. Подробная характеристика обследованной группы больных представлена в табл. 1.
Таблица 1. Сравнительная характеристика больных с благоприятными и неблагоприятными исходами в течение 2 лет наблюдения*.
Определение уровня BNP. Кровь для определения уровня BNP брали на 10-й день стабильного состояния. Количественное определение N-концевого фрагмента мозгового натрийуретического пептида в сыворотке крови проводили на аппарате Multiscan (TermoLabSistem, Германия), конкурентным иммуноферментным методом (ELISA), с применением стандартных наборов реактивов Biomedica (Австрия). Результаты выражали в фмоль/мл.
Определение аллелей и генотипов полиморфного маркера G(—455)А гена FGB. В промоторной области гена FGB в положении —455 расположен однонуклеотидный полиморфизм G/А. Определение аллелей и генотипов полиморфного маркера A(-455)G гена FGB проводили с использованием следующих праймеров:
FIBRa 5 - aag ggt ctt tct gat gtg tat ttt tсa tag - 3,
FIBRb 5 - att tga cct act cac aag gca acc act a 3
Фрагмент ДНК, содержащий аллель А, не расщепляется рестриктазой НаеIII. Фрагмент ДНК, содержащий аллель G, расщепляется этой рестриктазой, образуя продукты размером 124 и 103 п.н. Наличие фрагмента длиной 227 п.н. после обработки рестриктазой НаIII соответствовало генотипу А/А, 2 фрагментов (103 и 124 п.н.) — генотипу G/G и 3 (227, 124 и 103 п.н.) — гетерозиготному генотипу А/G. Длины рестриктазных фрагментов уточнены по последовательности гена, взятой из базы данных OMIM 134830.
Определение аллелей и генотипов полиморфного маркера С(—1654)Т гена PROC. В промоторной области гена PROCв положении —1654 расположен однонуклеотидный полиморфизм С/Т. Амплификацию участка ДНК, содержащего полиморфный маркер С(-1654)Т гена PROC, проводили с использованием следующих праймеров:
PROC-F 5 - gggcaaaaatgtccccatctgaa -3
PROC-R2 5 - agcccacc ctgcccaccaagaatg -3
Фрагмент ДНК, содержащий аллель Т, расщепляется рестриктазой BstF5I, образуя продукты размером 123 и 24 п.н., в то время как фрагмент ДНК, содержащий аллель С, остается нерасщепленным. Наличие фрагмента длиной 147 п.н. после обработки рестриктазой BstF5I соответствовало генотипу CC, 2 фрагментов (123 и 24 п.н.) — генотипу TT, и 3 (147, 123 и 24 п.н.) — гетерозиготному генотипу CT.
Определение аллелей и генотипов полиморфного маркера С(—516)Т гена APOB. В промоторной области гена APOB в положении —516 обнаружен однонуклеотидный полиморфизм C/T. Амплификацию участка ДНК, содержащего полиморфный маркер C(-516)T гена APOB, проводили с использованием следующих праймеров:
APOB-F: 5' - caagcgtcttcagtgctctg - 3'
APOB-R: 5' - gctggggtttcttgaagaca - 3'
Фрагмент ДНК, содержащий аллель T, остается нерасщепленным. Фрагмент ДНК, содержащий аллель C, расщепляется рестриктазой, образуя продукты размером 306 и 116 п.н. Наличие фрагмента длиной 422 п.н. после обработки рестриктазой Bst6I соответствует генотипу Т/Т, 2 фрагментов (306 и 116 п.н.) — генотипу C/C и 3 (422, 306 и 116 п.н.) — гетерозиготному генотипу С/Т.
Статистическая обработка данных. В целях статистической обработки данных применяли программу SPSS 17.0. Для протяженных переменных рассчитывали средние значения и стандартные отклонения (М±m). Для непрерывных числовых показателей был проведен анализ распределения и критериев его соответствия нормальному распределению. В качестве основного проводили анализ выживаемости больных методом Каплана—Майера с помощью критерия логарифма рангов. В качестве основного анализируемого события рассматривали первый наступивший у больного сердечно-сосудистый исход — конечную точку (ИМ, инсульт, смерть от ИМ, смерть от инсульта).
Клинические показатели, связь которых с неблагоприятным прогнозом проявила достоверный характер при однофакторном регрессионном анализе, включены в многофакторный регрессионный анализ Кокса, проводимый пошаговым методом с включением переменных при р<0,05.
Правильность распределения частот генотипов определяли соответствием равновесию Харди—Вайнберга (pi2+2pipj+pj2=1) и рассчитывали при помощи программного калькулятора Кристенсена.
Результаты
Средний срок наблюдения составил 2,4±0,07 года. За это время было зафиксировано 18 случаев повторного нефатального ИМ, 6 нефатальных инсультов, 37 больных умерли (из них 34 от сердечно-сосудистых заболеваний, в том числе 5 — от инсульта, 3 — от других причин), 33 больных подверглись вмешательству на коронарных артериях, у 22 отмечались эпизоды НС, при которой потребовалась повторная госпитализация.
Среди больных, у которых в течение периода наблюдения развились неблагоприятные исходы, оказалось больше пациентов с ИБС, ИМ, симптоматическим атеросклерозом периферических сосудов и сердечной недостаточностью в анамнезе. Частота развития неблагоприятных исходов также зависела от возраста больного, уровня BNP, креатинина, а также была переменной у тех пациентов, в терапии которых применялись тиазидные диуретики (табл. 2).
Таблица 2. Результаты однофакторного и многофакторного анализа частоты развития определенных сосудистых неблагоприятных исходов (фатальный и нефатальный ИМ, фатальный и нефатальный инсульт).
В среднем уровень BNP составил 624,51±32,13 фмоль/мл (от 70,3 до 4276,6 фмоль/мл). У больных с неблагоприятным исходом уровень BNP составил 872,47±91,42 фмоль/мл по сравнению с 592,45±35,97 фмоль/мл у больных без неблагоприятного исхода (р=0,001).
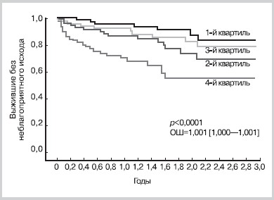
Для изучения ассоциации уровня BNP с исходами заболевания мы проанализировали выживаемость больных в зависимости от уровня фактора, разделенного на квартили. Наименьшее время дожития до конечной точки оказалось у больных, уровень BNP которых находился в 4-м квартиле (рис. 1).
Рисунок 1. Повышенный уровень натрийуретического пептида ассоциирован с частотой развития определенных конечных точек (график Каплана-Майера).
Распределение частот аллелей и генотипов всех исследованных полиморфных маркеров соответствовало уравнению Харди—Вайнберга. Был проведен анализ частот аллелей и генотипов исследуемых полиморфных маркеров в группах больных с благоприятным и неблагоприятным исходами.
Распределение частот генотипов в целом по группе оказалось следующим: полиморфный маркер гена FGB: АА — 11,6%, АG — 30,9%; GG — 57,5%, полиморфный маркер гена PROC: СС — 33,8%, СТ — 55,3%; ТТ — 10,9%, полиморфный маркер гена APOB: СС — 56,8%, СТ — 33,9%; ТТ — 9,4%.
У больных — носителей разных генотипов этих полиморфных маркеров G(-455)A гена FGB и С(-516) Т гена APOB частоты развития неблагоприятного исхода не различались.
Однако в случае полиморфного маркера С(-1654)Т гена PROC было выявлено, что аллель Т этого маркера ассоциировался с худшим течением и более коротким сроком дожития до конечной точки. Срок дожития до конечной точки у носителей генотипов ТТ и СТ составил 2,3±0,09 года против 2,7±0,09 года у носителей генотипа СС (р=0,026) (рис. 2).
Рисунок 2.Полиморфный маркер Т гена белка С ассоциируется с более ранним наступлением неблагоприятного исхода (график Каплана-Майера).
Многофакторный анализ Кокса (см. табл. 2) позволил установить, что с определенными сосудистыми событиями независимо ассоциированы носительство аллеля Т (р=0,026), повышенный уровень BNP (р<0,0001), симптоматический атеросклероз периферических артерий (р<0,0001), ИМ в анамнезе (р=0,001) и потребность в применении тиазидных диуретиков (р=0,024).
Обсуждение
В настоящем исследовании были обследованы больные, проходившие лечение в нескольких стационарах Москвы в связи с ОКС. Основные патофизиологические звенья при разных формах ОКС аналогичны, но пациенты имеют различные клинические, электрокардиографические, лабораторные характеристики и, самое главное, различный ближайший и отдаленный прогноз.
Для оценки риска развития осложнений ОКС созданы модели стратификации риска, учитывавшие независимые предикторы основных коронарных осложнений (смерть, ИМ). Все модели стратификации риска получены при анализе данных крупных многоцентровых исследований. Примером наиболее часто употребляемых моделей для оценки риска у больных с ОКС могут служить системы стратификации риска TIMI, PURSUIT, GRACE.
Исходная популяция обследованных нами больных была сопоставима с пациентами других регистров и исследований. Так, при сравнении исходных характеристик с больными регистра GRACE, включенными с 1 апреля 1999 г. по 31 марта 2001 г., видно, что пациенты в двух исследованиях существенно не различались по возрасту — 63,7 лет в нашем исследовании и 66 лет — в GRACE. Распространенность ИБС у наших больных составила 64,6%, у пациентов регистра GRACE — 68,1%. ИМ перенесли 27,4% наших больных и 32% пациентов регистра GRACE. Частота перенесенного инсульта в двух исследованиях также значимо не различалась и составила соответственно 8,6 и 8,3% (табл. 3.).
Таблица 3. Характеристика и распространенность (%) клинических факторов в исследуемой группе по сравнению с данными регистров.
Распространенность СД у наших больных составила 18,5%, что несколько меньше, чем в других регистрах. По данным GRACE, этот показатель составил 23,3% [6]. При этом, несмотря на то что случаи СД у пациентов нашего исследования по данным опроса пациентов составили 18,5%, гипергликемия на 10-й день клинической стабилизации состояния в крови, взятой натощак, отмечалась у 31,7% пациентов. Таким образом, реальная распространенность СД, очевидно, существенно выше.
Распространенность АГ в нашем исследовании составила 83,4%. Это существенно больше значений, полученных в других крупных исследованиях: 57,8% (GRACE) [6], 55% PURSUIT [7], 47,5—49,8% (распространенность АГ отличалась в группах эноксапарина и НФГ) TIMI 11B [8]. Высокая распространенность АГ у наших пациентов, возможно, обусловлена различными критериями диагностики этого заболевания. Так, в регистре ENACT частота АГ составила 41—51% (распространенность АГ отличалась в группах QИM, неQИМ, НС), этот процент включал пациентов, получавших терапию по поводу АГ [9]. В нашем исследовании гипотензивную терапию получали 56,6% больных. Таким образом, этот показатель, по-видимому, сопоставим у наших больных и у пациентов других крупных регистров.
Частота проведения процедуры реваскуляризации в анамнезе существенно отличалась от таковой в других регистрах. Только 2,4% наших больных перенесли коронарные вмешательства. По данным ENACT, до индексного события были прооперированы 7—20% пациентов (частота хирургических вмешательств отличалась в группах QИM, неQИМ, НС) [9]. В исследовании TIMI 11B чрескожная транслюминальная коронарная ангиопластика до индексной госпитализации была выполнена 11,4—12,6% пациентов, аортокоронарное шунтирование 13,2—16,2% (частота хирургических вмешательств отличалась в группах эноксапарина и НФГ) [8].
Поскольку основной целью исследования была оценка риска повторного обострения ИБС, больных включали в исследование на 10-е сутки стабильного состояния, т.е. в исследование не вошли больные, умершие в этот период.
Перенесенный ранее ИМ и атеросклероз периферических артерий неоднократно выделялись разными исследователями как важные неблагоприятные прогностические факторы. У больных, перенесших ИМ, риск развития повторного сердечно-сосудистого осложнения значительно выше, чем у пациентов без ИМ. Атеросклероз периферических артерий строго ассоциирован с сердечно-сосудистой заболеваемостью и смертностью [10]. Низкий плечелодыжечный индекс (<0,9) ассоциируется с повышением риска смерти от всех причин, смерти от сердечно-сосудистых заболеваний, развитием ИБС, инсульта даже у пациентов без клинических симптомов атеросклероза периферических артерий [11]. В нашем исследовании учитывали лишь клинически значимый атеросклероз периферических артерий. Применение тиазидных диуретиков, по-видимому, связано с тяжестью АГ у пациентов. Повышение АД у пациентов с ОКС ассоциируется с неблагоприятным прогнозом и высоким риском развития коронарных осложнений [12].
BNP и его влияние на прогноз у больных ИБС. Существует большое количество работ, доказывающих связь повышения уровня BNP с увеличением смертности больных с ОКС [13 —15]. У обследованной нами группы пациентов повышенный уровень BNP также ассоциировался с худшим течением и более коротким сроком дожития до конечной точки. Аналогичные данные были получены в крупном исследовании GUSTO-4 (14 609 пациентов с ОКС без подъема ST). В этом исследовании [16] повышение квартиля уровня NT-proBNP ассоциировалось с годичной смертностью, которая составила для 1, 2, 3 и 4-го квартилей 1,8, 3,9, 7,7 и 19,2% соответственно (р=0,001). Необходимо отметить, что в исследование GUSTO-4 включали только пациентов с ОКС без подъема ST. В большинстве исследований, законченных к данному моменту, основное внимание было уделено группам пациентов или с подъемом ST, или без подъема ST на электрокардиограмме.
Однако некоторые достаточно крупные исследования, как и наше, включали пациентов с ОКС независимо от степени повреждения миокарда, и в этих исследованиях также получены данные, доказывающие связь уровня BNP с прогнозом у пациентов с разными формами ОКС. В дополнительном исследовании, проведенном в рамках проекта OPUS-TIMI16 (Orbofiban in Patients with Unstable Coronary Syndromes), обследовали 2525 больных (у 825 был ИМ с подъемом ST, у 565 — ИМ без подъема ST и у 1133 — НС). Уровень NT-proBNP, измеренный однократно в среднем через 40±20 ч после начала ишемических симптомов, коррелировал с риском смерти, развития сердечной недостаточности и ИМ в течение 30 дней и 10 мес [17].
Необходимо отметить, что исследования, в которых уровень пептида оказался независимым прогностическим признаком, предполагали более ранний забор крови для измерения (1—4 дня) [18, 19]. В нашем исследовании уровень BNP впервые изучался на 10-е сутки стабильного состояния, что, однако, не повлияло на его прогностическую ценность.
Полиморфный маркер C(—1654)T гена PROC и его корреляция с прогнозом больных ОКС. Нарушения функции системы гемостаза, приводящие к тромбообразова- нию, являются одним из важнейших звеньев патогенеза ИБС. Считается, что в патогенезе формирования тромба немалую роль могут играть аллельные варианты генов, кодирующих факторы гемостаза. Изучение ассоциации полиморфных маркеров гена протеина С у пациентов с тромбозами, а также у здоровых лиц в общей популяции позволило выявить генотипы, в различной степени ассоциированные с предрасположенностью к развитию тромботических осложнений [4].
В промоторной области гена PROC обнаружено несколько полиморфизмов. В настоящей работе были определены частоты развития неблагоприятных исходов в группе пациентов, перенесших ОКС, в зависимости от генотипов полиморфного маркера C(—1654)T гена PROC. У больных нашей группы аллель Т полиморфного маркера C(—1654)T гена PROCассоциировался с неблагоприятным течением заболевания и более коротким сроком дожития до конечной точки. Срок дожития до конечной точки у носителей генотипов ТТ и СТ составил 2,3±0,09 года против 2,7±0,09 у носителей генотипа СС. По некоторым данным, этот полиморфный маркер ассоциирован с уровнем экспрессии гена PROC и, таким образом, может быть связан с количеством продукта этого гена [4].
Заключение
Больные ишемической болезнью сердца, перенесшие острый коронарный синдром, составляют группу наиболее высокого риска развития неблагоприятных исходов. Эта группа гетерогенна, поэтому остаются актуальными исследования, направленные на стратификацию риска у больных этой категории. Знание генетических факторов, предрасполагающих к развитию заболевания и его осложнений, имеет большое прогностическое значение и может использоваться до появления клинических симптомов или лабораторных признаков болезни. Использование новых маркеров, помимо традиционных клинических электрокардиографических и биохимических, для выявления пациентов с высоким риском поможет выделить группу больных, нуждающихся в более активном ведении и более пристальном последующем наблюдении. Данные, полученные в нашем исследовании на большой группе больных, свидетельствуют, что носительство аллеля Т полиморфного маркера C(-1654)T гена PROC и повышенный уровень мозгового натрийуретического пептида явились независимыми маркерами, позволяющими прогнозировать неблагоприятное течение ишемической болезни сердца, что дает основание для включения этих молекулярных маркеров в стандартное обследование больных, перенесших острый коронарный синдром.
Работа проведена при финансовой поддержке Российского Фонда Фундаментальных Исследований, проект № 07-04-01032 и Акционерного коммерческого банка ТААТТА (Якутск, Российская Федерация).



