В дополнение к инсулинотерапии, диете и самоконтролю физические нагрузки (ФН) играют важную
роль в комплексной терапии сахарного диабета (СД) 1-го типа. Они повышают чувствительность к инсулину, увеличивают утилизацию глюкозы, а также уменьшают риск развития сердечно-сосудистых
осложнений и помогают предотвратить ожирение [1].
Реакция на ФН у больных СД 1-го типа заметно отличается от таковой у здоровых лиц. Вследствие
экзогенного введения инсулина и нарушенной контррегуляции у пациентов с СД 1-го типа ФН чаще всего приводят к развитию гипогликемии [2], если не будет предпринято мер, направленных на поддержание гликемии, таких как снижение дозы инсулина или введение дополнительных углеводов. Гипогликемия в свою очередь может приводить к удлинению интервала QT на электрокардиограмме (ЭКГ) [3]. У больных СД 1-го типа удлинение интервала QT встречается чаще, чем в общей популяции [4, 5], и может быть причиной внезапной сердечной смерти этих пациентов [6].
Влияние ФН на гликемию у больных СД 1-го типа зависит от ряда факторов: продолжительности и интенсивности нагрузки, метаболического контроля, типа и дозы используемого инсулина, степени выраженности нарушений автономной регуляции и др. Ухудшение состояния сердечно-сосудистой системы и проявления автономной невропатии у больных СД 1-го типа выражаются в изменении параметров вариабельности ритма сердца (ВРС), удлинении интервала QT и других признаках [7].
Для оценки объема ФН у больных СД 1-го типа могут быть использованы как традиционные методы (велоэргометр, тредмил), так и появившаяся в последнее время система холтеровского мониторирования ЭКГ с оценкой параметров QT и встроенным датчиком двигательной активности (акселерометром). Такая система позволяет провести оценку влияния ФН на состояние сердечно-сосудистой системы и уровень глюкозы в крови в естественных физиологических условиях и
при индуцированных нагрузках любой интенсивности. Значение этих данных возрастает при их сопоставлении с параллельным использованием мониторирования гликемии [8].
Цель данного исследования — оценить влияние дозированной физической нагрузки на уровень глюкозы в крови и длительность интервала QT у детей и подростков, больных СД 1-го типа.
Материал и методы
В исследование были включены 15 детей и подростков, больных СД 1-го типа (7 мальчиков и 8 девочек; табл. 1).

Всем пациентам было проведено одновременное мониторирование гликемии, ЭКГ и физической активности. Длительность записи составила не менее 25 ч. На фоне одновременной записи проведена проба с ФН PWC170. Мониторирование гликемии начинали заранее за 25 ч до начала PWC170, мониторирование ЭКГ и двигательной активности за 1 ч до начала PWC170. Исследование было
прекращено через 24 ч после начала PWC170. Эпизоды гипогликемии менее чем за сутки до ФН являлись критерием исключения из исследования.
Всем пациентам было рекомендовано воздержаться от любых дополнительных физических нагрузок на все время исследования. Инсулин вводили в соответствии со схемой инсулинотерапии пациента и оставалось без значительных изменений на время исследования. Сутки мониторирования непосредственно до начала PWC170 были условно обозначены как «сутки отдыха», следующие
сутки, включавшие тест PWC170, были обозначены как «сутки с ФН».
Мониторирование ЭКГ с автоматическим измерением интервалов QT, QTc и RR. Запись ЭКГ производили на системе холтеровского мониторирования Холтер-ДМС (ДМС Передовые Технологии). Запись ЭКГ проводили в трех модифицированных грудных отведениях MV5, MAVF, MV3 с частотой дискретизации 250 Гц. Программа анализа холтеровских записей включала автоматический анализ интервалов QT, QTc, RR.
Измеряемые параметры холтеровского мониторирования ЭКГ. Анализ интервала QT построен на следующем принципе. Из анализа удаляют участки записи с ЧСС более 120. Затем всю запись ЭКГ разбивают на идущие один за другим кванты. Квантом называется последовательность
из 8 идущих подряд комплексов QRST. Из этих 8 комплексов исключают наджелудочковые и желудочковые экстрасистолы, а из оставшихся комплексов формируют усредненный комплекс. Параметры этого усредненного комплекса используют для определения интервала QT. Качество кванта определяется числом пригодных для усреднения комплексов и сходством между ними, определяемым коэффициентом межкомплексной корреляции. В нашем исследовании в анализ включались кванты, содержащие не менее 5 усредняемых комплексов и коэффициентом межкомплексной корреляции не
менее 85%.
Для каждого кванта (программой автоматически) определяли средние значения интервала RR и интервала QT (QRST), т.е. продолжительности участка усредненной ЭКГ от начала зубца Q до конца зубца Т. Для коррекции интервала QT на ЧСС использовали формулу Базета: QTc (корригированный интервал QT) =QT/√RR [9].
Двигательная активность. Система суточного мониторирования ЭКГ включала встроенный трехмерный акселерометр. Определяли непрерывно меняющуюся силу тяжести g (9,8 м/с2), приложенную к датчику, в проекции на 3 его ортогональные оси.
Чем сильнее в совокупности варьируют кривые во всех 3 осях, тем интенсивнее движение. На основании анализа кривых, полученных с датчика движения, формируется параметр, названный уровнем двигательной активности. Более детально принцип анализа двигательной активности описан нами ранее [8].
Мониторирование глюкозы. Для определения уровня глюкозы в крови мы использовали системы длительного мониторирования уровня глюкозы: CGMS (Medtronic MiniMed, USA), беспроводную систему мониторирования гликемии Paradigm REAL-Time (Medtronic MiniMed, США) и беспроводную систему мониторирования гликемии Guardian (Medtronic MiniMed, США). Во всех 3 системах сенсор имплантируется подкожно, поскольку показания уровня глюкозы в интерстициальной жидкости аналогичны таковым в капиллярной крови, это позволяет применять общепризнанные стандарты к получаемым таким образом данным. Каждая из систем измеряет уровень глюкозы в крови каждые 10 с и усредняет эти данные за 5 мин. Усредненные 5-минутные значения в дальнейшем используют для статистической обработки. Границы измерения уровня глюкозы данными приборами составляют от 2,2 до 22,2 ммоль/л.
Тест PWC170. Этот тест был проведен на комплексе «Валента» по стандартному протоколу не ранее чем через 3 ч после стандартного завтрака и введения полного болюсного инсулина на него в соответствии со схемой инсулинотерапии пациента. Среднее время начала пробы составило 13:06. Общая продолжительность пробы составила 13 мин (2 ступени по 5 мин с интервалом 3 мин).
Нагрузка первой ступени составила 1 Вт/кг массы тела, второй ступени 1,5 Вт/кг массы тела. Непосредственно перед пробой всем обследуемым были даны комплексные углеводы (печенье) в объеме 10 г для предотвращения возможной гипогликемии во время пробы.
Холтеровское мониторирование, регистрацию физической активности и мониторирование глюкозы проводили одновременно. Время работы приборов было синхронизировано. С целью сопоставления показаний монитора глюкозы и холтеровского монитора для статистической обработки использовали значения QTc, RR, ЧСС и показатели двигательной активности, усредненные за 5 мин.
Статистический анализ. Статистическую обработку полученных данных проводили с использованием
статистического пакета STATISTIСA (StatSoft, Tulsa, OK, США). Различие между признаками при их нор-
мальном распределении оценивали с помощью t-критерия Стьюдента, в случае отличного от нормального распределения использовали тесты Манна—Уитни или Крускела—Уоллиса (при сопоставлении 3 групп и более). Различия при р<0,05 считались достоверными. Использованные обозначения: SD — выборочное стандартное отклонение, SE — выборочная стандартная ошибка, p — достигнутый уровень значимости.
Результаты
Результаты нагрузочного тестирования приводятся в табл. 2. Нарушений сердечно-сосудистой деятельности ни у кого из обследуемых зафиксировано не было.

В нашем исследовании гликемия после пробы с ФН заметно отличалась по сравнению с предыдущим днем. На рис. 1 представлена суточная почасовая динамика гликемии в день с ФН по сравнению с днем без ФН (данные представлены в виде среднего и доверительного интервала — ДИ). Нулевой точке соответствует время начала пробы PWC170.
Рисунок 1. Суточная почасовая динамика гликемии за сутки отдыха (светлая пунктирная линия) и за сутки с ФН (темная сплошная линия).
Рисунок 2. Гликемия за час до ФН, во время и через 105 мин после ФН в сутки отдыха (светлай пунктирная линия) и в те же временные интервалы в сутки с ФН (темная сплошная линия).
Рисунок 3. Гликемия четез 120-495 мин после ФН в сутки отдыха (светлая пунктирная линия) и в сутки с ФН (темная сплошная линия).
За время исследования отмечается несколько периодов снижения гликемии после ФН. В соответствии с
поставленной целью исследования эти периоды были разобраны более подробно.
Средняя гликемия за 5 мин до начала физической нагрузки достоверно не отличалась от гликемии в такое же время в сутки отдыха (8,4±2,6 и 9,2±2,7 ммоль/л соответственно; p>0,05). Непосредственно во время ФН и в течение 45 мин от ее начала отмечалось достоверное снижение гликемии в сутки с ФН по сравнению с сутками отдыха, затем следовал подъем сахара крови до исходного уровня (рис. 2).
Достаточно продолжительное достоверное снижение гликемии отмечалось в период 180—420 мин от
начала ФН в сутки с ФН по сравнению с теми же временными интервалами в сутки отдыха (рис. 3).
Еще один эпизод достоверного снижения гликемии в сутки с ФН по сравнению с сутками отдыха отме-
чался в период 19—21 ч после начала ФН (9,3±3,1 и 10,8±3,1 ммоль/л соответственно; p<0,05).
При анализе динамики гликемии и длительности интервала QTc за время исследования в целом отме-
чалась слабая обратная зависимость между этими показателями (r=–0,15; p<0,05).
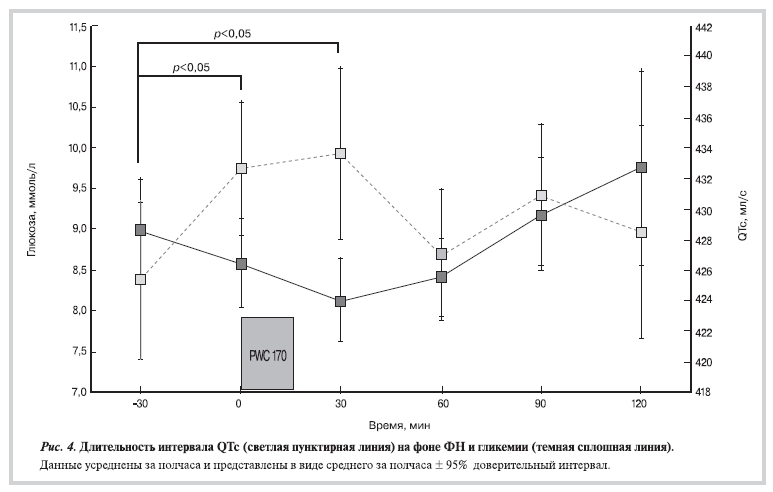
Во время PWC170 и через 30 мин после ее начала отмечено достоверное удлинение интервала QTc
по сравнению с базальным (до нагрузки) уровнем (рис. 4).
Рисунок 4. Длительность интервала QTс (светлая пунктирная линия) на фоне ФН и гликемии (темная сплошная линия).
Рисунок 5. Длительность интервала QTс (светлая пунктирная линия) в период снижения гликемии (темная сплошная линия) после ФН.
Рисунок 6. Глюкоза в крови (темная сплошная линия) и двигательная активность (светлая пунктирная линия) в период снижения гликемии PWC170.
В период снижения гликемии через 180—520 мин после начала нагрузки достоверное удлинение интервала QTc отмечается с некоторой задержкой: с 270 мин от начала ФН и продолжается больше чем период снижения гликемии до 480 мин (рис. 5). Средняя продолжительность интервала QTc в этот период времени составила 427±26,5 мс.
Уровень двигательной активности в период снижения гликемии через 180—420 мин после начала ФН практически не отличался от уровня физической активности перед началом этого периода (рис. 6). Достоверно уровень двигательной активности отличался только в точке 300 мин от начала ФН, что не могло значительно повлиять на снижение гликемии за такой длительный период.
Обсуждение
В нашей работе тест PWC170 приводит к нескольким эпизодам снижения гликемии по сравнению с сутками без ФН. Снижение гликемии отмечается во время и спустя 45 мин после ФН, что может быть связано не только с непосредственной утилизацией глюкозы в ответ на нагрузку, но и с более низким уровнем гликемии в сутки с ФН. Хотя гликемия перед ФН достоверно не отличалась за сутки отдыха и за сутки с ФН, отмеченная тенденция к более низкой гликемии в сутки с ФН в сочетании с небольшой группой обследованных дает статистически недостоверную разницу. Кроме того, дополнительные
углеводы, принятые непосредственно перед ФН, должны предупредить более выраженное снижение гликемии.
Больший интерес вызывает отложенное, более выраженное по силе и длительности снижение гликемии через 180—420 мин после начала PWC170. Физическая активность приводит к повышению чувствительности к инсулину [10] и к повышенной активации неинсулин-чувствительных транспортеров глюкозы (GLUT-4) [11]. Таким образом, ФН у больных СД 1-го типа возможно влияние на гликемию спустя несколько часов. Снижение гликемии связано с несоответствием между продукцией и утилизацией глюкозы. К этому приводит недостаточность механизмов подавления уровня инсулинемии [12, 13]. У здорового человека в ответ на ФН происходит подавление секреции инсулина и повышение продукции глюкозы печенью [14, 15]. У больного СД 1-го типа уровень инсулина может быть
скорректирован только заранее, а контринсулярная регуляция нарушена или отсутствует [12, 16].
Снижение гликемии в этот период времени диктует необходимость в коррекции инсулинотерапии на этот период времени. Это может быть осуществлено снижением дозы базального инсулина только в случае запланированной нагрузки, однако не всегда может быть осуществлено, например при использовании инсулина Лантус. В случае не запланированной ФН нормализация гликемии может
быть достигнута снижением короткого/ультракороткого инсулина, период действия которого приходится на это время, что может быть также не всегда удобно. Третий вариант — коррекция питанием, однако избыточный прием углеводов может привести к гипергликемии, а также ухудшает контроль за массой тела у пациентов с ее избытком. Очевидно, что наилучшие возможности в данном случае предоставляет использование помповой инсулинотерапии, с возможностью на короткий период времени значительно изменять базальную инсулинемию.
На фоне снижения гликемии в период 180—420 мин после начала ФН, отмечается удлинение интервала QT. Ранее нами было показано, что уровень глюкозы в крови ниже 3—4 ммоль/л приводит к достоверному удлинению интервала QT при длительном мониторировании ЭКГ и гликемии [8]. В большинстве других работ также описывается удлинение интервала QT во время эпизодов
экспериментальной или клинической гипогликемии [17, 18]. В данной работе нами показано удлинение интервала QT при снижении гликемии после ФН. Удлинение интервала QTc при этом составило 427 мс, что меньше, чем во время показанной нами ранее [8] гипогликемии менее
3 ммоль/л, при которой длительность QTc составила 442 мс. Таким образом, длительность QTc в данной работе не достигает таковой при гипогликемии. В нашем исследовании гликемия контролировалась путем постоянного мониторирования, что позволило избежать эпизодов значимой гипогликемии. В результате эпизоды существенной гипогликемии отсутствовали. Можно предположить, что
в данном случае удлинение интервала QT связано не с самой гипогликемией, а с резким падением уровня глюкозы в крови. Это может приводить к секреции контринсулярных гормонов [19], в частности адреналина. Он, в свою очередь, оказывает либо прямое действие на кардиомиоциты, либо опосредованное, путем воздействия на β-адренорецепторы с задержкой инактивации входящих
кальциевых потоков, что приводит к удлинению потенциала действия [20].
Нами было также констатировано снижение гликемии через 19—21 ч после ФН. Этот период приходился на 8—10 ч утра и мог включать утренние обследования (УЗИ, взятие крови). В связи с этим время утренней инъекции инсулина и прием пищи могли расходится во времени в сутки отдыха
и в сутки с ФН. Поэтому данное снижение может оказаться недостоверным.
В нашей работе показано, что применение монитора двигательной активности позволяет исключать влияние двигательной активности на гликемию при одновременном мониторировании этих показателей после окончания ФН. Ввиду того что физические нагрузки могут вносить значительный вклад в изменение уровня глюкозы в крови, это способствует более точной оценке колебаний
гликемии за день. Кроме того, это позволяет выявлять и анализировать другие факторы, влияющие на гликемию.
Таким образом, снижение гликемии через 3—7 ч можно достоверно связать с физической нагрузкой. Ее бόльшие, чем во время физической нагрузки и непосредственно после нее, выраженность и длительность позволяют сделать вывод о необходимости мониторинга и коррекции гликемии в этих временны`х интервалах. Несмотря на необходимость и большую пользу физической нагрузки, проведение их, по нашим наблюдениям, усиливает лабильность течения сахарного диабета у многих детей и подростков. Знание интервалов времени, в которые происходит снижение гликемии связанное с физической нагрузкой, поможет скорректировать гликемию в эти часы.



